[더오래]포화지방은 나쁘고 불포화지방은 좋다, 사실일까?
━
[더,오래] 이태호의 잘 먹고 잘살기(96)
“포화지방은 나쁘고 불포화지방은 좋다?” “그럼 동물성 지방은 나쁘고 식물성 지방은 좋다?”
둘 다 아니라고 말하면 분명 토를 달 사람이 많을 테다. 세간의 상식이 그렇지 않으니까. 또 ‘포화지방은 혈관을 메꾸고 불포화지방은 기름때를 빼준다’, ‘트랜스지방산은 악, 오메가 지방산은 선, LDL은 나쁜 콜레스테롤 HDL은 좋은 콜레스테롤’이라면 어떤가. 사실인지 그 진위를 간단한 문답형식으로 따져본다.
Q 지방과 지방산의 관계는?
A 불가분의 관계다. 지방산은 지방을 구성하는 ‘빌딩블록’이라고 표현한다. 이를테면 집 짓는 자재, 즉 구성요소라는 뜻이다. ‘포도당이 전분의 빌딩블록이고, 아미노산(20종류)이 단백질의 빌딩블록’이라는 것과 같이 쓰이는 학술용어이다. 지방산은 지방과 따로 떨어져 존재하지 않는다.
Q 지방의 구조는 어떻게 생겼나?
A 모든 지방은 한 분자의 글리세롤에 3분자의 지방산이 결합해 있다(그림). 지방은 종류를 불문하고 구성 지방산을 달리할 뿐 그 기본구조는 같다. 지방산1,2,3은 같을 수도 다를 수도 있으며 이들의 종류와 분포가 지방의 굳기, 발화점 등 물성을 좌우한다. 지방을 기름이라고도 부른다. 3대 영양소 중 가장 열량이 높다.
![[그림1] 지방의 구조. 글리세롤 한 분자에 지방산 3분자가 결합해있는 것이 지방이다. 3분자의 지방산은 지방의 종류에 따라 다를 수도 같을 수도 있다. [자료 이태호]](https://img4.daumcdn.net/thumb/R658x0.q70/?fname=https://t1.daumcdn.net/news/202102/23/joongang/20210223080050198khbi.jpg)
Q 포화는 뭐고 불포화는 뭔가?
A 그림에서 지방산2와 3은 불포화지방산, 1은 포화지방산이다. 포화·불포화는 이중 결합의 여부에 따라 붙인 이름이다. 지방을 포화지방 혹은 불포화지방이라 부르는 것은 잘못이다. 불포화지방산 혹은 포화지방산의 비율이 높거나 낮은 지방이라 불러야 옳다. 이중 결합은 불안정하고 반응성이 강해 산화에 민감하다. 쉽게 변질한다는 뜻이다.
Q 지방이 왜 굳어있기도 하고 녹아있기도 하나?
A 식물성 지방은 액체라 좋고 동물성 지방은 고체라 나쁘다고 생각하기 쉬우나 그렇지 않다. 녹는 온도는 단지 상온(20도 정도)을 기준으로 한 것이기 때문이다. 액체도 저온에서는 굳고 굳은 것도 온도를 높이면 녹는다. 그 좋다는(?) 올리브유도 냉장고에 넣으면 굳는다. 불포화지방산의 비율인 불포화도가 들기름과 참기름보다 낮아서다. 지방은 불포화도의 높낮이에 따라 굳기가 달라진다는 것. 보통은 식물유의 불포화도가 동물유보다 높다.
Q 동물성 지방은 소화가 잘 안 되고 식물성은 잘된다고?
A 지방의 소화효소는 췌장에서 분비되는 리파아제다. 기름은 물과 섞이지 않아 소화효소의 접근이 어렵다. 그래서 쓸개즙이 나와 지방을 녹이고 효소의 접근을 용이하게 해 소화를 돕는다. 혹자는 동물성 지방이 굳어있어 소화되지 않고 그냥 대장으로 내려가 부패 미생물의 먹이가 되고 독성 물질이 생긴다고 얘기하나 근거가 없다. 유화되고 나면 포화·불포화에 차이 없어진다. 대부분 소장에서 소화된다.
Q 지방과 콜레스테롤은 핏줄 속에 둥둥 떠다니며 혈관을 막나?
A 아니다. 보통은 그렇게 생각하지만, 실제는 운반체(lipoprotein, 지단백질)가 있어 지방과 콜레스테롤 등을 안전하게 실어 나른다(그림참조). 좋고 나쁘다는 HDL(high density lipoprotein), LDL(low density lipoprotein)이 바로 그것이다. 이들에는 음식에서 간으로, 간에서 조직으로, 조직에서 간으로 실어 나르는 것 등 다양하다. 각기 크기·역할·밀도를 달리하며 그 양은 필요에 따라 조절된다.
![[그림2] 리포단백질. 지방과 콜레스테롤 등을 운반하는 수송체. 밀도·크기·역할을 달리하는 몇 종류가 있다.](https://img3.daumcdn.net/thumb/R658x0.q70/?fname=https://t1.daumcdn.net/news/202102/23/joongang/20210223080050469qljb.jpg)
Q 콜레스테롤에 나쁜 게 있고 좋은 게 있나?
A 그런 건 없다. 자연계에는 한 종류의 콜레스테롤만 존재하기 때문이다. 콜레스테롤은 지방이 아니라 지질로 분류한다. 지방·왁스·콜레스테롤·인지질 등이 지질류에 속한다. 콜레스테롤은 악명과는 달리 지용성분의 흡수를 돕고, 성호르몬·부신호르몬·담즙산·비타민D 합성의 재료로 쓰이며, 세포막을 구성하는 필수성분이다. 필요에 따라 체내에서 대부분 합성된다. 시중에서 나쁜 콜레스테롤(LDL), 좋은 콜레스테롤(HDL) 하는 것은 콜레스테롤이 아니라 지방과 지질을 운반하는 지단백질이라는 건 앞에서도 언급했다(그림참조).
Q 중성지방이 나쁘다는데?
A 모든 지방은 중성이다. 산성 지방이란 없다. 단 지질로 분류되는 인지질이 산성이다. 대부분 세포막에 존재하지만 다른 기능도 있다. 구조는 지방의 지방산3 대신 인산(P)이 들어있고 여기에 여러 기능성 물질(-X)이 결합해 있는 것으로 그 종류는 많다. X에는 세린, 에타놀아민, 이노시톨, 글리세롤 등 여러 물질이 온다. 이 P-X 부분이 친수성이라 유화 기능을 나타내며 기름을 물과 잘 섞이게 한다. 체내에서 합성된다.
Q 필수지방산은 뭐고 오메가 지방산은 뭔가?
A 오메가 지방산은 필수지방산의 다른 이름이다. 오메가3와 6는 필수이고 9은 비필수이다. ω(오메가)는 그리스어 알파벳(α∼ω)의 끝 문자이다. 숫자 3,6,9는 지방산의 끝 ω 탄소로부터 순번을 매겼을 때 이중 결합의 위치(번호)를 의미한다. 다른 숫자(9,12,15)는 지방산의 앞쪽 카복실기(-COOH)로부터 센 탄소 번호다. 그림에서 지방산3이 ω-3이고, 지방산2가 ω-9이다. 오메가 지방산의 정식명칭은 ω-3가 리놀렌산(linolenic acid), ω-6은 리놀레산(linoleic acid), ω-9는 올레산(oleic acid)이다.
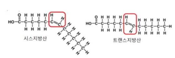
Q 트랜스지방(산)은 뭐며 그렇게 나쁜 건가?
A 체내에 들어가면 막 구조에 영향을 미쳐 나쁘다는 게 중론이나 그렇지 않다는 주장도 만만찮다. 이름도 트랜스지방이라 하면 잘못이다. 트랜스지방산이 들어있는 지방이라 해야 옳다. 트랜스(trans)라는 명칭은 시스(cis)와 함께 지방산의 (기하)이성체를 나타내는 학술용어다. 불포화지방산의 이중 결합에 붙어있는 2개 수소의 방향이 같은 쪽이면 시스형, 반대쪽일 때는 트랜스형이라 한다(그림참조). 자연계에는 시스형만 있다. 그런데 고열 등에 의해 가끔 시스형이 트랜스형으로 바뀐다. 볶음이나 튀김 요리에서 생기며 우유와 모유에도 소량 들어있다. 우리가 일상으로 먹고 있는 셈이다.
![[그림3] 시스와 트랜스지방산. 지방산의 2중 결합에 붙어있는 수소의 방향에 따라 나눠지는 기하이성체의 명칭, 같은 쪽이 시스형, 반대쪽이 트랜스형. 자연계에는 시스형만 있고 트랜스형은 인위적으로 만들어진다.](https://img1.daumcdn.net/thumb/R658x0.q70/?fname=https://t1.daumcdn.net/news/202102/23/joongang/20210223080051784patl.jpg)
Q 마가린은 뭐며 버터와 어떻게 다른가?
A 거의 같다. 이중 결합이 많은 액체(식물성)지방에 수소를 불어넣어 포화시키면 녹는점이 높아져 고체가 된다. 이게 마가린의 제조법이다. 이때 고열에 의해 시스형이 트랜스형으로 일부 바뀐다. 처리온도가 높을수록 생성량이 많아진다. 트랜스 지방이 없는 마가린도 나온다. 버터는 우유의 지방 성분을 모은 것으로 구조와 물성은 마가린과 별 차이가 없다.
Q 지방은 오래 두면 나쁘다는데?
A 사실이다. 지방이 어떤 영향으로 가수분해돼 지방산이 떨어져 나오면, 이를 ‘산패되었다’고 한다, 특히 불포화지방산의 2중 결합 부분이 불안정해 이 부분이 산화되면 반응성이 강한 과산화물(활성산소)이 생성된다. 인체에 해롭다. 산패가 심하면 이상한 냄새와 쩐내가 난다. 불포화지방산이 많은 식물유가 산패되기 쉽다.
이상 말도 많고 탈도 많은 지방, 그 복잡한 내용을 1회의 글로 설명하기에는 역부족이었다. 다음 기회에 각 문과 답을 독립주제로 정해 더 상세한 내용을 알릴 예정이다.
부산대 명예교수 theore_creator@joongang.co.kr


Copyright © 중앙일보. 무단전재 및 재배포 금지.
- 임은정에 칼 쥐어준 박범계···"한명숙 재수사로 윤석열 죽이기"
- "文, 대통령이냐 임금이냐"···21세기 한국, 때아닌 '왕' 논란
- 양산 골프장서 숨진 남성, 새벽 4시 CCTV에 찍힌 모습은…
- 건강검진 의사도 놀래킨 '알약'···10대부터 노인까지 열광한 '5조 시장'
- '학폭 의혹' 입장 밝힌 수진 "늘 나쁜 소문 따라다녔다…방황했지만 학폭 절대 아냐" (전문)
- "김동희 뺨때리기 놀이 했다"…자고 일어나면 터지는 '학폭'
- "고추장 버거 대박" 미국인 외교관 롤모델은 '박막례 할머니'
- 하다하다 술판까지 벌였다, 뻑하면 테러 당하는 무인점포
- 손가락 3개로 만든 '특별한 앱'···중국판 오체불만족의 기적
- "부상자 돕던 10대에 총격"…분노한 미얀마, 시위 열기 고조