이재명의 '호텔경제학', 이준석의 '화폐수량설'
[한성안]
어느 주간지에 매달 서평을 써야 하지만, 그곳 재정 상황을 알기에 언젠가부터 원고료를 받지 않기로 했다. 글을 써도 돈이 안 들어오는 구조다. 여러 일 가운데, 이 돈 안 되는 일로 인해 나는 좀 바쁘다.
|
|
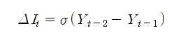
| ▲ 이재명 더불어민주당 대선 후보가 지난 2017년 자신의 트위터에 올린 호텔 예약금 10만원 순환론 그림. 이준석 개혁신당 대선 후보가 이를 '호텔경제학'이라고 명명하고 비판했다. |
| ⓒ 이재명 후보 트위터 |
이재명의 논리구조에는 별달리 큰 문제가 없다. 몸의 피가 영양분과 산소를 운반하면서 인간을 살리듯, 돈이 잘 돌면서 재화를 유통시키니 경제가 잘 살아나고 있지 않은가! 실물만으로 경제가 돌아가지 않으니 이렇게 보면 돈의 역할은 크다. 돈 없이 실물은 움직이지 않는다. 원시사회의 '선물'경제와 달리 시장경제에서는 돈이 돌지 않으면 재화와 서비스도 돌지 않고 멈춰 버린다. 돈은 실물과 비록 반대 방향이긴 하지만 후자를 깨어 돌아다니게 하는 원동력이다.
돈의 적극적 역할을 잘 드러내 줬으니, 이재명은 돈이 물가에만 영향을 준다고 믿는 주류경제학자보다 낫다. 돈이 인플레이션에서처럼 물가만 올린다는 주류경제학자들의 생각을 '화폐수량설'이라고 부르는데, 이런 생각은 '화폐베일관'이라고도 불린다. 왜냐하면 이들은 화폐가 물가라는 명목적, 곧 이름뿐인 베일(veil)로서, 실물경제의 진실된 실체를 가리면서 우리의 눈을 속이는 허상에 지나지 않는다고 보기 때문이다.
이들에게 돈은 이처럼 베일에 불과하니, 돈이 재화를 유통시키는 역할은 물론 돈이 경제를 활성화하거나 성장시킬 수도 있다는 생각을 가질 수가 없다. 이 경제학자들은 '돈 없이 물물교환'만으로 돌아가는 경제를 상상할 정도로 돈을 우습게 여긴다. 돈을 신으로 숭상하는 '자기 주인'인 자본가들이 들으면 잡아죽일 듯 덤벼들겠지만 말이다. 황금을 신으로 숭배하는 배금주의자의 이해를 대변하는 학자들이 '황금 보기를 돌같이 하라'는 최영 장군의 말씀에 의거하여 '화폐금융론' 교과서를 쓰고 있다니, 세상은 실로 아이러니하다!
|
|
| ▲ 이재명 더불어민주당 대선 후보가 26일 오후 경기도 용인시 단국대학교 죽전캠퍼스 앞에서 지지를 호소하고 있다. |
| ⓒ 공동취재사진 |
이준석이 아마 이재명의 다음 발언을 더 조롱하는 모양이다. "이후 여행객이 예약을 취소하고 10만 원을 환불받아 떠나더라도 이 동네에 들어온 돈은 아무것도 없지만 돈이 돌았다. 이것이 경제다."
그러나 예약 덕분에 경제가 돌아갔으니, 이재명의 생각은 여기서도 틀리지 않았다. 생각해 보라. 만일 예약이 아예 없었더라면, 경제는 얼어붙은 듯 꼼짝도 하지 않았을 것이다. 시작조차 할 수 없었단 말이다. 예약 후 이재명이 예시한 것처럼 호텔사장의 예금이 가구점, 치킨점, 문구점으로 돌면서 '케인지언 승수효과'가 일어났다. 여기서 이준석이 '당연한' 한계소비성향을 굳이 부각시켜 논의에 혼란을 부추길 필요까진 없다. 한계소비성향이 1이든 0.5든 논리구조에는 아무런 영향이 없다. 별 아는 게 없으니, 혼란을 주기 위해 그냥 찔러 본 것이다. 바람직하지 않은 대화법이다.
물론 예약취소로 인해 호텔주인은 낭패를 당했다. 써버린 돈을 되갚아야 되는데, 금고에 돈이 없다. 아이구, 망했구나. 이준석이 파고 들면서 공략하기로 마음 먹은 바로 그 빈 공간이다. 그러나 한 번의 예약취소만으로 망할 호텔도 없으려니와, 펑크 난 금액 정도는 은행에서 대출을 받아 메울 수 있다.
우리는 돈으로 촘촘히 연결된 '화폐경제'에 살고 있다. 그러니 그리 호들갑을 떨 문제는 아니다. 더욱이 그사이 새 방문객한테 또 예약받으면 되지 않나. 아니면, 호텔사장이 돈을 돌린 덕분에 경제가 잘 돌아가, 치킨사장이 숙박을 예약할 수도 있는 일이다. 승수효과가 오로지 호텔의 외부에서만 발생한다는 규칙은 없다. 무한등비급수로 측정되는 승수효과에는 호텔 '내부로 향하는' '되먹임'(feedback)도 포함된다. 경제는 이처럼 변화무쌍하고 복잡해 초기조건만으로 미래를 완전히 예단할 수 없다.
하지만 그 사이 은행이 인내하지 못해 상환을 독촉하면 망할 수밖에 없지 않을까? 꼭 그렇진 않을 것이다. '최종적 대부자'로서 우리의 '국가'가 당당히 버티고 서있지 않은가! 현대사회에서 국가는 경제의 궁극적 파탄을 좌시하지 않는다.
경제에 대한 국가의 역할
지금은 한층 강화됐지만, 사실 경제에 대한 국가의 역할은 고대사회에서도 크게 다르지 않았다. 주류경제학자들은 경제를 '시장영역'으로 한정시켜 버리는 못된 습성을 가지고 있다. 경제는 '시장경제'와 '비시장경제'(정부, 시민사회)의 앙상블이다. 경제는 닫힌계(closed system)가 아니라 비시장에 대해 '열린계'(open system)다. 정부없는 경제, 정부없는 시장은 역사상 존재한 적이 없었고, 앞으로도 존재할 수 없다. 신자유주의자들이 기획하는 완전한 자유시장도 강력한 법체제, 강력한 노동조합 억제장치, 엄격한 사유재산 보호법 없이 이뤄질 수 없다.
정부는 무슨 수로 호텔을 지원할까? 그동안 모아 놓은 세금이 있다. 돈은 이때 써야 한다. 모아 놓은 세금이 없으면 어떡하나? 중앙은행에서 돈을 찍어 빌려주면 된다. 중앙은행은 이런 거 하라고 있는 국가제도다. 완전고용의 유지, 경제성장 등도 중앙은행이 염두에 두어야 할 중요한 과업이다. 주류경제학자들이 주장하듯이, 물가관리가 중앙은행의 주업무가 아니다.
이 돈으로 호텔사장은 먼저 취소된 예약금을 되돌려 줌으로써 경영을 정상화시킬 수 있다. 그렇게 하면 그가 시작한 거시경제의 총체적 교환도 펑크 나지 않고 안정되게 굴러간다. 정부가 무리하게 상환을 독촉하지 않는 한, 그리고 상황이 변하지 않는 한, 호텔은 평소처럼 정상영업을 수행할 수 있을 것이다. 예약이 정상적으로 이뤄지고, 투숙객이 증가하면 호텔의 매출액과 이윤은 증가한다. 빈방도 점차 채워질 것이다. 투숙객들이 마을에서 치킨을 사먹고, 볼펜도 구입해 돈을 벌자, 치킨사장과 문구주인은 집에 가구를 들일 수 있게 되었다. 호텔사장은 인테리어로 단장하고 화장실 변기도 교체하기로 했다. 변기 사장님도 신이 났다.
정부의 지출(여기서는 호텔에 대한 대출지원)이 소비를 자극해 지역경제의 총소득이 증가한 것인데, 이처럼 (정부)지출이 소비를 자극해 국민소득이 증가하는 현상을 대략 '승수효과'라고 부른다. 알고 보면, 이런 정부지출 덕분에 앞에서 이재명이 열거한 지역 내 화폐유통의 연쇄고리가 보장된 것이다. 정부가 없었더라면 케인지언 승수효과는 무망했을 것이며, 지역경제도 살아나지 못했을 것이다. 큰 정부가 악덕이 아니다.
|
|
| ▲ . |
| ⓒ 한성안 |
이준석은 경제를 '시장'경제로 좁게 보는 시야에 갇혀 있고, 경제를 '닫힌계'로 보는 바람에 국가의 역할을 놓쳐 버렸다. 이재명 역시 동일한 경제관에 포박돼 있으니, 이준석과 보수파의 반박에 대해 횡설수설할 수밖에 없다. 이재명 역시 자칭 보수파이니 정부의 역할이 보일 리 없었을 지도 모른다. 이제 그만 '보수보수'하고 진보경제학도 공부하기 바란다.
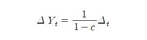
그런데 얘기는 여기서 끝나지 않는다. 이준석이 모를 수밖에 없고, 알고 있어야 할 이재명도 배우지 못한 단계가 하나 더 있다. '가속도 효과'라고 하는 건데, '소득'의 증가가 기업의 '투자'를 증가시켜, 다시금 '국민소득'이 추가로 증가하는 현상이다. 가령 이런 것이다. 앞에서 우리는 정부지출로 인해 소비가 증가하고, 증가한 '소비'로 인해 국민'소득'이 증가했다는 것을 안다. 승수효과가 발생하는 경로였다.
승수효과로 인해 국민소득이 증가하니 장사가 잘 될 분위기가 감지된다. 사람들의 호주머니가 두둑해졌기 때문이다. 호텔사장이 돈냄새를 맡았다. 돈에 관한 한 그의 코는 개코다! 그래서 투자를 감행하기로 했다. 늘어난 이윤을 저축하지 않고 '투자'하면 어떨까? 객실을 더 늘리기로 했다. 앞에서 인테리어나 변기교체처럼 기존 설비를 교체하거나 수리하기 위한 투자를 '갱신투자'(replaced investment)라고 하는 반면, 숙박시설 자체를 더 짓는 투자를 '신투자'(new investment)하고, 소득에 의해 유발되었다고 해서 '유발투자'(induced investment)라고도 한다.
신투자로 한 명이 아니라 열 명을 불러 들여 돈을 더 벌게 됐다. 객실이 늘어났기 때문이다. 덩달아 치킨사장도 문구사장도, 그리고 변기사장도 사세를 확장해야 했다. 여기서도 '신투자'가 일어난 것이다. 도처에서 신투자 일어나고 있다. 더 많이 팔아먹으니 이 사장들의 소득이 훨씬 더 많아지게 되었다. 사세를 확장하는 중에 사람을 더 쓰게 됐으니, 고용이 늘어났다. 더 많은 사람들이 월급을 받게 됐으니 국민소득도 더 높아졌다. 실로 가속도로 증가한다. '소득'이 (유발투자를 거쳐) '소득'을 창출한 것이다! 문재인 정부의 '소득주도성장'은 바로 이 단계를 지칭한 것이리라.
이처럼 승수효과로 인해 소득이 증가하자, 그다음에 '신투자'가 일어나 국민소득이 한층 더(가속도로) 증가하는 현상을 '가속도 효과'라고 부른다. 이제 번 돈으로 호텔 사장은 정부 대출을 갚고, 세금도 내게 되니 누이 좋고 매부 좋다!
|
|
| ▲ . |
| ⓒ 한성안 |
|
|
| ▲ . |
| ⓒ 한성안 |
|
|
| ▲ . |
| ⓒ 한성안 |
셋째, 경제는 시장만으로 작동되지 않는다. 시장은 '비시장'(non-market)에 대해 열린계다. 고로, 정부의 개입없이 시장은 작동하지 않는다. 정부의 역할을 망각하고 말았으니, 예약취소 후 경제는 망하는 것으로 오해될 수밖에 없다. 이준석처럼 보수주의자 이재명도 멍할 수밖에 없었던 것이다. 공부하고 나서 돌아오라! 넷째, 케인지언 모델은 승수효과로 끝날 정도로 허약한 모델이 아니다. 승수효과로 인해 가속도 원리가 시작된다.
시간만 좀 더 주어지면, 소득이 성장을 주도할 수 있다. 가속도효과에 대한 지식과 확신이 없으니, 진보가 매번 꼬리를 내린다. 하버드 말곤 아무 내세울 것 없는 이준석이 저렇게 촐랑대도 모두 말을 못하고 있다. 이재명은 내 스타일이 아니라 딱히 두둔할 생각은 없지만, 이재명이 잘못한 건 크게 없다. 미흡할 뿐이다. 멘토들, 정신 차려라.
잡지사에서 돈이 돌지 않으니 내 글도 잘 굴러가지 않고, 자주 멈춘다. 딱히 돈이 궁해서라기보다 최소한의 노력에 대한 존중만은 받고 싶기 때문이다. 돈이 다는 아니지만, 유통과 창조의 동력이 되는 것도 사실이다. 특히 자본주의 사회에서는 말이다.
Copyright © 오마이뉴스. 무단전재 및 재배포 금지.
- 전광훈 '대가리 박아' 논란에... 대국본 해명 "유쾌한 연출"
- 발등에 불 떨어진 국힘, 사전투표 독려... "3일간 투표해야 이긴다"
- 성심당만 있는 게 아닙니다, 요즘 MZ가 대전가는 진짜 이유
- [영상] 설난영, '노조 못생겨' 발언 사과 "희화화 과정에서 나온 이야기"
- 이수정 "투표 독려 현수막에 대통령 선거1", 누리꾼 "병원 가보세요"
- 일벌레 남편 입에서 "은퇴하길 잘했어" 말 나오게 만든 여행
- 장동혁 "이재명 당선되면 김정은 나라 된다" 발언 파문
- 한화오션 하청 노사, 재개했던 교섭 또 또 중단
- MBK 본사 앞에서 국회의원도 분통 "점주가 계약 위반? 뻔뻔하다"
- [오마이포토2025] "방탄조끼 안 입었다"며 상의 올린 김문수





