애통해하는 통곡소리 국조이래 처음
[김삼웅 기자]
|
|
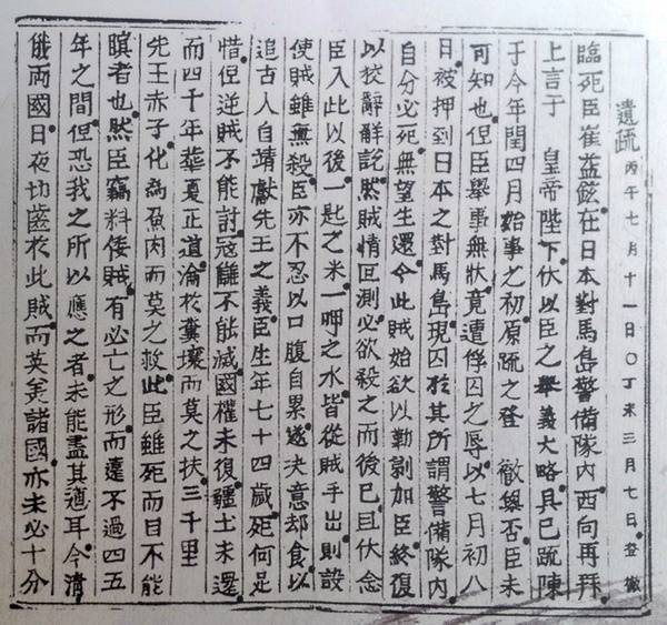
| ▲ 유소 면암 선생이 대마도에서 마지막으로 왕께 올린 유서 |
| ⓒ 하주성 |
박은식은 <독립운동지혈사>에서 "의병이란 민군(民軍)이다. 국가가 위급할 때에 즉각 의(義)로서 일어나 조정의 명령을 기다리지 않고 종군하여 싸우는 자이다"라고 정의한다. 한 말에 조선의 의병을 취재했던 멕캔지는 <한국의 비극>에서 의병을 '정의의 군대(Righteous' Army)'라 썼다.
매천 황현은 1910년 순국에 앞서 남긴 <매천야록>에서 "일찍이 나라를 위해 공을 세운 바도 없고 충성한 바도 없는 내가 스스로 목숨을 끊을 뿐 생전에 의병을 일으키지 못한 것을 부끄럽게 생각한다"고 적었다. 한말의 대표적인 선비 매천이 '의병을 일으키지 못한 부끄러움'을 토로할 만큼 의병투쟁은 국민의 희망과 존숭의 대상이었다.
의병장 면암이 일본에 끌려가 단식 끝에 서거했다는 소식은 국내에 큰 충격을 주었다. "만일 의병이 이기고 진 것을 가지고 평가한다면 의병의 본질을 천박하게 이해하는 것"(박은식) 이란 평가처럼, 면암은 의병전에 나서 10여 일 만에 피체되고 적진으로 끌려가 결국 주검으로 돌아왔지만, 그 충혼과 의기는 일반 국민에게 충분히 일체감을 안겨주었다.
|
|
| ▲ 최익현 유해 환국 대마도에서 영구가 부산항에 도착하자 하늘에 갑자기 쌍무지개가 떴다. |
| ⓒ 이의주 작(1976s) |
최익현의 유해가 부산에 도착하자 애국 시민들은 철시를 했고 남녀노소가 호곡했다. 상여가 마련되어 정산(定山) 본가로 운구하는데, 연로에서 애국 민중들이 늘어 잡고 울부짖는 바람에 하루에 겨우 10리 밖에 운구하지 못하였다. 경북 상주에 이르렀을 때, 민중의 동요를 겁낸 일군은 이때부터 기차로 운구하였다. (주석 2)
면암의 상여는 그의 자질과 문인을 비롯하여 1천 여 명의 상무사원(商務社員) 등 수많은 애도 인파 속에 '춘추대의(春秋大義)', '일월고충(日月高忠)'이란 만장을 앞세우고 상무사로 운구되었으며, 그곳에서 전제를 올렸다.(…)
면암의 유해는 1월 7일 상무사 빈소에서 발인하여 정산 본가로 향하였다. 대래 병가와 짐꾼은 모두 상무사에서 부담하였다. 초량에서 구포까지 40리 구간은 이틀에 걸쳐 갔다. 이후 구포강을 건너 부산을 떠나 면암의 운구 행렬은 김해·창원·칠원·창녕·현풍·성주·김천·향간·영동·옥천·희대·공주를 거쳐 1월 20일 비로소 정산 본가에 도착하였다. (주석 3)
상여가 부산에 도착하자 상인들은 상점을 열지 않고 친척을 잃은 듯이 슬퍼하였다. 남녀노소를 막론하고 그들은 떠나는 배를 부여잡고 슬피 울므로 그 울음 소리는 먼 바다까지 들렸다. 상인들은 그들의 상무사에 호상소를 마련하여 상여를 다시 만들고 그곳에서 하루동안 머물고 있다가 출발하였다.
상여를 따르며 미친듯이 통곡한 사람이 1천 명이나 되었고 산승·기생·걸인까지도 영전에 바칠 제물 광주리를 들고 인산인해를 이루었으며, 모인 만장을 말 두 필에 실었으나 하루 10리 밖에 가지 못하였다. 부음이 전해지자 사람들이 더욱 많이 모여들었다. 동래를 출발하던 날 상여가 거의 움직이지 못할 지경이었다.
일본인들은 무슨 변이 생길까 두려워 매우 엄중히 호위하면서 사람들이 모이지 못하도록 하였지만 끝내 해산시킬 수 없었다. 상주에 도착한 후에는 일본인들이 고통을 느껴 상여차를 버리고 기차에 영구를 실어 순식간에 그의 고향집에 도착하였다. 그러나 상주 이래 3백 리 길에 이미 10일이나 소요되었다. 시골마다 애통해하는 통곡소리가 온 나라에 울려 퍼졌다. 이때 사대부로부터 아동들에 이르기까지 모두 눈물을 흘리며 서로 조문하기를 "최면암이 죽었다"고 하면서 슬퍼하였다.
국조(國朝) 이래 죽은 사람을 위하여 이렇게 슬피 우는 것은 처음 있는 일이었다.(황현, <매천야록>)
주석
1> 박종화, <면암 최익현 선생>, <나라 사랑>, 제6집, 52쪽.
2> 김의환, 앞의 책, 66~67쪽.
3> 박민영, 앞의 책, 208쪽.
덧붙이는 글 | [김삼웅의 인물열전 - 면암 최익현 평전]은 매일 여러분을 찾아갑니다.
Copyright © 오마이뉴스. 무단전재 및 재배포 금지.

