한국 남성, 서구 남성보다 10년 빨리 근육 빠진다···12개국 체성분 분석 ‘인바디’ 데이터 최초 공개

한국 남성들이 서구 남성들에 비해 10년 이르게 근육 감소기에 접어드는 것으로 조사됐다. 20대 한국 여성들은 다른 나라 같은 연령대 여성에 비해 지방량이 현저하게 낮은 것으로 드러났다.
글로벌 체성분분석기 기업 ‘인바디’가 조만간 발표할 ‘2023년 인바디 리포트’에 따르면, 한국 남성들은 35세부터 근육량이 감소하기 시작한다. 반면, 미국 남성들은 40대 중반이 들어서면서 근육량이 유의미하게 줄어든다. 인바디는 “이런 차이를 보이는 요인은 유전, 환경 등 다양하지만 어쨌든 한국 남성은 서구 남성에 비해 조금 더 이른 시기에 근력 강화 운동을 할 필요가 있다”고 설명했다. 20대 남성 노화, 체지방률 증가는 생활 습관 영향도 무시할 수 없다. 한국 남성의 높은 음주율과 흡연율이 노화를 앞당겼을 수도 있다.
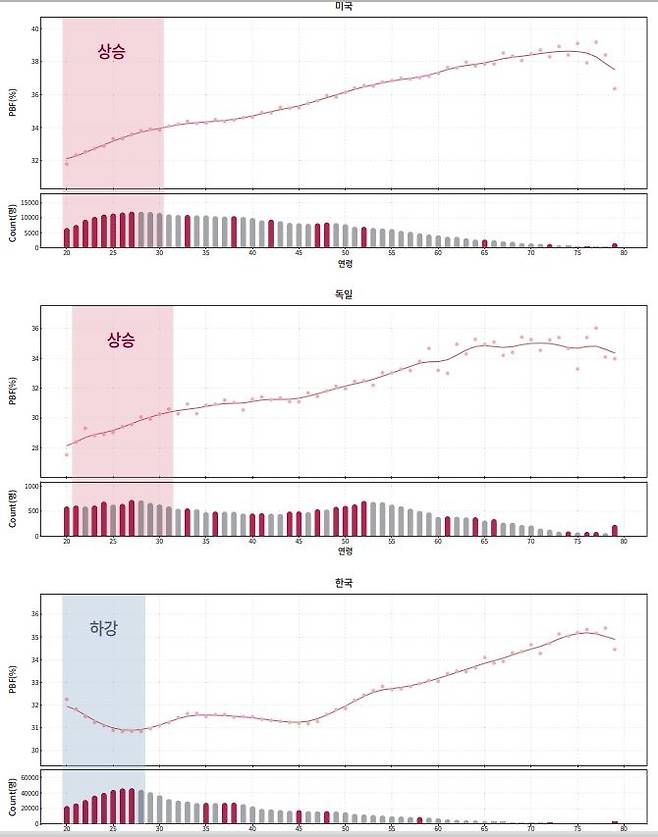
한국 여성들은 독특하게 20대에 체지방률이 점차 낮아지는 것으로 드러났다. 미국, 영국 여성들이 같은 시기에 체지방률이 증가하는 것과 반대다. 인바디 데이터는 결과만 보여줄 뿐 이유는 설명하지 못한다. 한국 여성들이 20대 다이어트에 과도하게 집중한 결과라고 추론할 뿐이다. 또 한국 20대 초반 여성들은 체지방률이 31%를 넘는다. 같은 나이 독일, 네덜란드 여성들은 29% 안팎이다. 한국 여성이 중고 및 대학 초기 운동을 많이 하지 않는 결과라고 해석할 수 있다.

이번 리포트는 2022년 1월까지 최근 5년간 세계 12개국에서 인바디로 측정된 각국 사람들의 체성분 데이터를 기반으로 작성됐다. 데이터 총수는 한국, 일본, 중국, 캐나다, 미국, 독일, 호주, 영국, 네덜란드, 멕시코, 말레이시아, 인도에서 20세 이상 성인들이 측정한 8300여 만개다. 같은 기간, 기기는 약간 달라도 같은 회사 제품으로 측정한 데이터인 만큼 신뢰성은 충분하다. 다만 △어려운 환경 속에서도 운동하려는 사람의 개인 의지 △인바디 기기를 이용하는 사회적·경제적 계층 △코로나 기간 중 운동시설 접근성 등이 개인과 국가마다 다르다. 국가별, 시기별 추이를 알아보는 데는 효과적이지만 인바디 데이터를 전국민 데이터로 간주하는 것은 무리가 있다.
인바디가 가장 중요하게 여기는 데이터는 체지방률(PBF·Percentage Body Fat), 골격근지수(SMI·Skeletal Muscle Mass Index) 등 두 가지다.
PBF은, 쉽게 설명하면, 체중 대비 체지방 비율이다. 한국 남성 평균 체지방률은 22.61%, 여성은 31.52%다. 평균 체지방률 순위로 보면, 한국 남자는 12개국 중 6위로 중간인 반면, 여성은 4위로 마른 편이다. 국가별 평균 체지방률 순위를 살펴 보면, 남자 1위는 일본(21.1%), 여자 1위는 중국(28.74%)이다.
SMI는 사지 근육량을 키의 제곱(㎡)으로 나눈 값이다. 단순히 근육량만을 잰 게 아니라 키라는 요소까지 적용해 만든 지표다. 지수가 높을수록 신장에 비해 근육이 많다고 보면 된다. 한국 남성 평균 SMI는 8.38이다. 한국보다 낮은 나라는 말레이시아, 인도, 일본, 중국이다. 한국 여성 평균 SMI는 6.31이다. 한국보다 낮은 나라는 말레이시아, 일본, 중국이다. 한국 남녀 모두 서구인들에 비하면 근육량이 상대적으로 적다는 뜻이다.

한편, 인바디로 측정한 한국 성인 남성 평균 키는 172.12㎝로 조사됐다. 미국은 178.33㎝, 독일은 179.73㎝, 호주는 176.52㎝다. 한국 여성 평균 키는 159.10㎝며 미국 163.51㎝, 독일 166.38㎝, 호주 163.37㎝로 각각 집계됐다. 한국 남성 평균 체중은 75.33㎏으로 나왔다. 미국은 92.94㎏, 독일은 88.10㎏, 호주는 91.52㎏이다. 한국 여성 평균 체중은 59.96㎏이다. 미국은 75.12㎏, 독일은 71.15㎏, 호주는 74.58㎏이다.
김세훈 기자 shkim@kyunghyang.com
Copyright © 스포츠경향. 무단전재 및 재배포 금지.
- ‘자연 임신’ 배기성,♥이은비와 “8일 연속 관계 후 오른쪽 귀 안 들려”
- 대만 야구팬 문보경 SNS 욕설 테러···“9회 왜 삼진당했나?” 인신 공격 쏟아져, 제3자 일본도 “
- 나나, 강도 피해 전말 모두 밝혔다…“흉기 보고 본능적 방어, 하늘이 도와” (짠한형)
- 장나라 소속사 관계자, 유서 남긴 채 사망
- 파격 금발 임영웅 “1등 됐어요!” 감격 SNS
- 59세 박미선, 유방암 투병 후 첫 생일…“다시 초 불 수 있어 감사”
- ‘왕사남’ 제작사, 표절 주장에 “증명 가능한 순수 창작물, 단호히 대응”
- “소주 4잔” 이재룡, 결국 음주운전 ‘쓰리아웃’… ‘복귀’ 유호정 어쩌나
- 하정우 “♥차정원과 열애 행복하다” (강호동네서점)
- 백지영♥정석원, 유산 두 번 겪었다…“둘이서 잘 살자고 했는데”