[지금은 과학] "FDA 지침이 틀렸다"…韓연구진이 약물 상호작용 예측 수식 개선안 내놓았다
![IBS-KAIST-충남대 공동연구진이 약물 상호작용을 정확하게 예측할 수 있는 새로운 수식을 개발했다. 신약 개발 과정에서 임상 성공률을 높이는 데 기여할 것으로 기대된다. [사진=IBS]](https://img4.daumcdn.net/thumb/R658x0.q70/?fname=https://t1.daumcdn.net/news/202301/04/inews24/20230104172952761cwhn.jpg)
[아이뉴스24 최상국 기자] 기초과학연구원(IBS)과 충남대의 약학-수학자들이 약물간의 상호작용을 미국 식품의약국(FDA) 지침보다 두 배 이상 정확하게 예측할 수 있는 새로운 방식을 제안했다.
IBS 수리 및 계산 과학 연구단 의생명 수학 그룹 김재경 CI(KAIST 수리과학과 교수) 연구팀은 채정우‧김상겸 충남대약대 교수팀과 공동으로 FDA 지침이 사용을 권장하는 약물 상호작용 예측 수식이 부정확했던 원인을 규명하고, 정확도를 2배 이상 높인 새로운 수식을 제시했다고 발표했다.
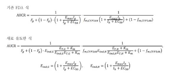
![약물 상호작용 예측을 위해 FDA 가이던스에서 제시하는 수식(위)과 연구진이 새로 유도한 수식(아래). AUCR(약물 농도-시간 곡선 하면적)은 약물 상호작용에 의한 약물 농도의 변화 비율을 나타낸다. 연구진은 기존 수식보다 약물 상호작용 예측 정확도를 2배 이상 높였다. [사진=IBS]](https://img1.daumcdn.net/thumb/R658x0.q70/?fname=https://t1.daumcdn.net/news/202301/04/inews24/20230104172954069xzua.jpg)
여러 약물을 동시에 복용하면, 약물간의 상호작용에 의해 약효가 달라질 수 있다.
체내 흡수된 약물은 간을 비롯한 여러 장기의 효소에 의해 대사되어 체내에서 사라진다. 두 가지 이상의 약을 함께 복용할 경우, 하나의 약이 다른 약의 대사를 변화시켜 체외 배설을 촉진하거나 억제할 수 있다. 목표로 한 치료 효과를 내지 못하거나 부작용이 발생할 가능성이 있다. 이를 ‘약물 상호작용(DDI)’이라고 한다.
약물 상호작용에 따라 약물의 제거 속도를 정확하게 예측하는 것은 의약품 처방 및 신약 개발에 있어 매우 중요하다. 의료진은 약물을 복합처방할 때 의약품 사용설명서에 명시된 약물 상호작용 정보를 토대로 처방을 내린다. 신약 개발 과정에서도 약물 상호작용을 필수로 표시하도록 되어 있다.
하지만 신약 개발과정에서 신약 후보물질과 시판된 모든 약물의 상호작용을 모두 평가하는 것은 현실적으로 불가능하다. 이 때문에 FDA는 약물 상호작용을 평가하고, 다약제 복용 과정의 부작용을 최소화하기 위한 가이던스(Guidance‧지침서)를 1997년부터 발행하고, 가이던스에서 제시한 수식을 활용해 약물 상호작용을 간접적으로 평가하도록 권고하고 있다.
문제는 이 수식의 정확도가 떨어진다는 점이다.
IBS연구진의 설명에 따르면 FDA가 제시하는 수식은 효소의 반응속도를 설명하는 ‘미카엘레스-멘텐(Michaelis-Menten, MM) 식'을 기반으로 한다. 이 수식은 1913년 처음 제시된 후 현재까지 22만여 편의 논문에 인용되고, 생화학 교과서에서 다뤄질 정도로 생화학 분야에서 가장 널리 알려진 수식이다.
이 수식은 약물 대사에 관여하는 체내 효소의 농도가 낮다는 것을 전제로 하지만, 연국진은 실제 간에서 약물 대사에 관여하는 효소 농도는 예측에 사용돼온 값보다 1천배 이상 높은 것을 확인함으로써 기존 FDA 수식이 부정확한 원인을 찾았다.
![기존 FDA 식은 약물-약물의 상호작용 정도를 실제 측정값보다 낮게 예측하는 경향이 있다(회색 점). 이에 반해 새로 유도된 식(빨간색 점)은 측정값의 오차 범위 2배 이내로(0.5~2배) 예측하는 비율이 기존 식보다 2배 이상 높다. 그림의 실선은 측정값과 일치하는 예측 값을 의미하며, 점선은 0.5~2배의 오차를 가지는 예측 값을 나타낸다. [사진=IBS]](https://img3.daumcdn.net/thumb/R658x0.q70/?fname=https://t1.daumcdn.net/news/202301/04/inews24/20230104172955245hgmu.jpg)
채정우 충남대약대 교수는 “연구자들은 과학적인 근거가 부족한 인위적인 수를 곱하는 식으로 FDA의 수식을 보정해서 사용해왔다”며 “과거의 과학자들이 당시의 정설이던 천동설을 기반으로 행성의 움직임을 설명하기 위해 복잡한 궤도를 도입했던 것과 유사한 상황”이라고 말했다.
연구진은 수학-약학 협력연구를 통해 약물 상호작용을 설명할 수 있는 새로운 수식을 개발했다. 의심 없이 사용돼 온 기존 식 대신 효소의 농도에 상관없이 정확하게 약물의 대사 속도를 예측할 수 있는 새로운 수식을 유도했다.
이후, 새로 쓰인 수식을 이용해 약물 상호작용을 예측하고, 실제 실험으로 측정된 값과 비교했다. 그 결과, 인위적인 보정 없이도 예측 정확도가 2배 이상 증가한 것으로 확인됐다. 기존 FDA 수식은 약물 상호작용을 2배의 오차범위 내에서 예측한 비율이 38%인데 반해, 수정된 식은 80%에 달했다.
생물학적 제제를 제외한 대부분의 의약품은 FDA 가이던스에 따라 약물의 상호작용을 평가한다. 이 결과는 약효와 부작용에 직결된다. 정확한 수식을 활용한 약물 상호작용 연구 및 약물 처방이 필요한 이유다.
김상겸 충남대약대 교수는 “약물 상호작용 예측 정확도의 개선은 신약개발의 성공률과 임상에서의 약물 효율을 높이는데 기여할 것”이라며 “임상약리학 분야 최고의 저널에 논문을 발표한 만큼, 이번 연구결과에 따라 FDA 가이던스가 수정될 것으로 기대한다”고 말했다.
김재경 IBS CI는 “수학과 약학의 협력 연구 덕분에 당연히 정답이라고 생각했던 수식을 수정하고, 인류의 건강한 삶을 위한 단서를 찾을 수 있었다”며 “미국 FDA 가이던스에 ‘K-수식’이 들어가길 꿈꿔본다”고 말했다.
![(왼쪽부터) 송윤민 박사과정생(IBS/KAIST, 공동 제1저자), 김상겸 교수(충남대, 공동 교신저자), 김재경 CI(IBS/KAIST, 공동 교신저자), 채정우 교수(충남대, 공동 교신저자), Quyen Thi Tran 및 Ngoc-Anh Thi Vu 박사과정생(충남대, 공동 제1저자) [사진=IBS]](https://img2.daumcdn.net/thumb/R658x0.q70/?fname=https://t1.daumcdn.net/news/202301/04/inews24/20230104172956496fkfp.jpg)
이번 연구결과는 2022년 12월 15일 임상약리학 분야 권위지인 ‘임상약리학 및 약물치료학(Clinical Pharmacology and Therapeutics)’ 온라인 판에 실렸다.
※ 논문명: Beyond the Michaelis-Menten: Accurate Prediction of Drug Interactions through Cytochrome P450 3A4 Induction
/최상국 기자(skchoi@inews24.com)▶네이버 채널에서 '아이뉴스24'를 구독해주세요.
▶재밌는 아이뉴스TV 영상보기▶아이뉴스24 바로가기
[ⓒ 아이뉴스24 무단전재 및 재배포 금지]
Copyright © 아이뉴스24. 무단전재 및 재배포 금지.
- [결혼과 이혼] 밥상 앞에서 트림·방귀도 모자라⋯서서 소변 본 시부에 며느리 '충격'
- 전현무, 순직경찰에 '칼빵' 발언…"진심으로 사과" 고개 숙여
- D-100⋯여야 공천 심사 착수 결과 촉각 [종합]
- 안중근 후예, 육군 장교 길 올라…"호국간성 되겠다"
- [속보] 밀양시 "산불 빠르게 확산…안태·무곡마을 주민 대피" 안내
- 20대순경, 숙박업소서 전 연인과 성관계 불법촬영 혐의로 입건
- "사장님은 관리만"⋯바른치킨의 '푸드테크' [현장]
- "엄마, 나 대신 음주운전 했다고 해줘"…20대 아들, 구속 기소
- "K뷰티 라이징 스타"…1세대 로드숍 미샤의 부활
- 韓에서 아이돌 하던 'XG' 프로듀서, 마약 소지 혐의로 日서 체포