"암 환자 젊을수록 위험…40대 7.5배, 50대 6.6배, 60대 4.6배"
서울시민 545만명 4년 추적…"췌장암·폐암·담관암·간암 순 심정지 위험 커"
"암 환자 모니터링 강화하고 보호자에 심폐소생술 등 응급대처 교육해야"


병원 밖에서 발생하는 심장마비(심정지)는 생명을 위협하는 심각한 건강 문제로 꼽힌다.
연합뉴스 보도에 따르면 전 세계적으로 연간 발생률이 10만 명당 40∼100명꼴에 달하지만, 대부분 국가에서 생존율은 아직도 10% 미만에 그치기 때문이다. 심장이 갑자기 멈추는 초응급 상황에서 10명 중 1명도 생존하지 못하는 셈이다.
그런데 이런 급성 심장마비에 유독 취약한 그룹이 있다. 바로 암 환자다.
암이 심장마비의 도화선으로 꼽히는 데는 몇 가지 가설이 있다.
우선 암 자체가 혈액 응고 이상 및 혈전 위험을 증가시키는 데다 암 치료에 사용되는 일부 항암제 등이 심장 독성을 유발하거나 심장 기능을 떨어뜨릴 수 있다는 분석이다.
또한 암 진단 및 치료로 인한 신체 활동 감소, 식습관 변화, 기저질환 악화 등이 심장마비 발생 위험을 높인다는 보고도 있다.
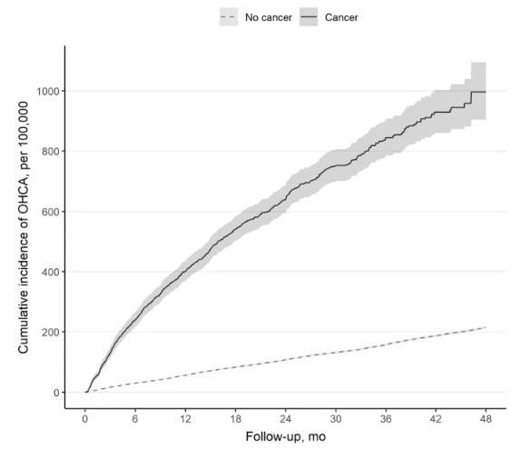
실제로 최근 국내에서는 암 진단을 받은 사람이 암을 진단받지 않은 사람보다 급성 심장마비 발생 위험이 3배 이상 높다는 연구 결과가 제시됐다.
서울의대 응급의학과 박정호·이선영·김윤직·이정아·노영선·송경준·신상도 교수 공동 연구팀은 서울에 거주하면서 암이나 심장마비 병력이 없는 40세 이상 545만438명을 질병관리청의 지원으로 최대 4년 동안 추적 관찰한 결과 암 진단을 받은 사람은 암을 진단받지 않은 사람에 견줘 급성 심장마비 발생 위험이 높아지는 연관성이 관찰됐다고 1일 밝혔다.
이 연구 결과는 국제학술지 'BMC 캔서'(BMC cancer) 최근호에 발표됐다.
연구 기간 암은 총분석 대상자의 3.2%(17만4천785명)에서 발생했다. 인구 10만명당 심장마비 발생률은 암 환자 그룹이 145명으로 암에 걸리지 않은 그룹의 54명에 견줘 현저히 높았다.
연구팀은 이런 분석 결과와 나이, 성별, 건강보험 유형, 합병증 등의 여러 변수를 종합적으로 고려했을 때 암 환자의 심장마비 발생 위험이 암에 걸리지 않은 사람보다 평균 3.18배 높은 것으로 추산했다.

특히 암은 연령별, 유형별로 심장마비 발생 위험에 차이를 보였다.
연령대별로는 같은 비교 조건에서 40대가 7.52배로 가장 높았으며, 다음으로 50대 6.66배, 60대 4.58배 순이었다. 젊은 나이에 암 진단을 받은 사람일수록 심장마비 위험이 더욱 높아지는 것으로 볼 수 있는 대목이다.
암의 유형별로는 암 중에서도 가장 치료가 어려운 것으로 꼽히는 췌장암에서 심장마비 발생 위험이 7.59배로 가장 높았다. 이어 폐암(7.29배), 담관암(6.18배), 간암(5.86배) 등도 심장마비 위험이 높은 암에 속했다.
연구팀은 이번 연구 결과가 암 환자를 대상으로 한 맞춤형 심혈관질환 위험 평가와 관리가 필요함을 보여준다고 설명했다.
특히 젊은 암 환자나 췌장암, 폐암, 담관암, 간암 환자처럼 심장마비 고위험군으로 분류되는 환자들은 집중적인 모니터링과 별도의 예방 전략 수립이 필요하다는 게 연구팀의 지적이다.

박정호 교수는 "암 환자에게 있어 심장마비로 인한 사망을 예방하기 위해서는 무엇보다 암 환자와 보호자들에게 심폐소생술을 포함한 응급 대처법을 교육해야 한다"고 말했다.
암 환자에게 갑자기 심정지가 왔을 경우 주변 가족이 즉시 심폐소생술을 적절히 시행하면서 119에 연락하는 등의 신속한 응급조치를 할 수 있어야 한다는 것이다.
다만 말기 암 환자의 경우에는 원하지 않는다면 불필요한 응급처치가 시행되지 않도록 하는 사전 연명치료 논의도 필요하다고 박 교수는 덧붙였다.
박 교수는 "암 환자 맞춤형 응급 상황 대응 계획을 수립하는 한편 말기 암 환자의 경우 사전에 환자가 원하는 응급처치에 대해 논의해야 한다"며 "암 환자들이 적절한 응급처치에서 제외되거나 부적절한 응급처치를 받는 경우를 최소화하는 모니터링 체계 구축이 필요하다"고 강조했다.

Copyright © 저작권 보호를 받는 본 콘텐츠는 카카오의 운영지침을 준수합니다.