주사제로 콜라겐 생성 유도… 피부 탱탱하게 하는 미용 시술의 과학적 원리
멀고도 어려운 단어 ‘화학’. 그러나 우리 일상의 모든 순간에는 화학이 크고 작은 마법을 부리고 있다. 이광렬 교수가 간단한 화학 상식으로 생활 속 문제를 해결하는 법, 안전·산업에 얽힌 화학 이야기를 들려준다.

피부 노화 핵심 원인은 콜라겐 감소
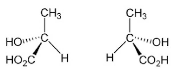
주사제 성분을 이해하려면 우선 젖산(Lactic Acid)에 대해 알아야 한다. L-젖산은 우리 몸 근육이 무산소운동으로 피로해지면 자연적으로 생성되는 물질이다. D-젖산은 자연적으로는 잘 만들어지지 않지만 인공적으로 합성할 수 있다. 이 두 가지 젖산은 아무리 회전시켜도 서로 포개지지 않는 구조를 갖고 있으며, 한 분자를 거울에 비춰보면 다른 분자가 나온다(그림 참조). 이처럼 구조가 서로 다르지만 거울에 비친 모습은 같아서 '거울상 이성질체'라고 부른다. 핵심은 이 둘이 서로 다른 화합물이며 생체 내에서 작용하는 방식에 차이가 있다는 점이다.
쥬베룩 볼륨은 스컬트라와 작용 원리가 비슷하지만 사용하는 고분자가 다르다. 쥬베룩 볼륨 주사제는 D-젖산과 L-젖산이 무작위 순서로 붙어 있는 고분자 사슬이다. 이 고분자를 PDLLA(Poly-D·L Lactic Acid)라고 부른다. PDLLA는 L-젖산으로만 이뤄진 PLLA와 달리 D형과 L형 젖산이 섞여 있어 구조가 덜 규칙적이다. 그래서 PLLA보다 체내 분해 속도가 빠르다. 이는 시술 후 염증 반응이나 결절 생성 가능성이 PLLA보다 낮다는 것을 의미한다.
쥬베룩 볼륨의 콜라겐 생성 원리는 스컬트라와 아주 흡사하다. 체내에서 외부 침입 흔적으로 인식되는 PDLLA가 섬유아세포를 자극해 콜라겐 자가 생성을 촉진한다. PDLLA도 시간이 지나면 이산화탄소와 물로 분해돼 몸에서 빠져나간다.
쥬베룩 볼륨 주사제에는 우리 몸에 이미 존재하는 천연 고분자 히알루론산(Hyaluronic Acid)도 들어 있다. 히알루론산은 수분을 잘 잡아주는 친수성 고분자로, 이를 피부에 주입하면 즉각적으로 살이 차오르는 듯한 효과가 생긴다. 다만 피부를 더 오래 탱탱하게 유지하는 효과는 스컬트라가 쥬베룩 볼륨보다 우세하다.
저분자 콜라겐 먹고 잠 잘 자야 피부 회복
한편 먹는 형태의 콜라겐 관련 제품이 시중에 많다. 콜라겐 섬유는 원래 3가지 종류의 아미노산이 반복적으로 연결된 사슬 구조를 갖는다. 이런 사슬을 가수분해해 아미노산이 두어 개 연결된 상태로 만든 것이 저분자 콜라겐이다. 따라서 저분자 콜라겐 제품에는 콜라겐을 다시 생성할 수 있는 원료 물질이 들어 있다. 하지만 이를 먹는다고 피부나 관절에 콜라겐이 항상 잘 생기는 것은 아니다. 이러한 제품은 콜라겐 섬유의 원료일 뿐이라서 조건이 맞지 않으면 콜라겐이 만들어지지 않는다.피부에서 콜라겐이 잘 생기게 하는 조건은 뭘까. 충분한 잠과 철분, 비타민C다. 콜라겐 원료가 되는 아미노산은 단백질이 극도로 부족한 식단이 아닌 이상 충분한 양이 자연스레 우리 몸에 들어온다. 음식을 가리지 않고 잘 먹으면 비타민C와 철분도 충분히 섭취할 수 있다. 여기에 잠만 잘 자면 된다. 예부터 미인은 잠꾸러기라고 했다. 과학적으로 일리 있는 얘기다. 잠만 잘 자도 스컬트라, 쥬베룩 볼륨 시술 시기를 늦출 수 있다.
이광렬 교수는… KAIST 화학과 학사, 일리노이 주립대 화학과 박사학위를 취득하고 2003년부터 고려대 화학과 교수로 재직 중이다. 대표 저서로 '게으른 자를 위한 수상한 화학책' '초등일타과학' '사춘기는 처음이라' 등이 있다.
이광렬 고려대 화학과 교수
Copyright © 주간동아. All rights reserved. 무단 전재, 재배포 및 AI학습 이용 금지
- 노령견 항암치료는 완치보다 삶의 질 향상에 맞춰져야
- “중동전쟁, 삼성전자·SK하이닉스 단기 실적에 큰 타격 없을 듯… 헬륨 등 반도체 핵심 소재 재
- “왕좌 복귀” 노리는 브라질, 월드컵 앞두고 공격수 무한 경쟁 돌입
- 북극성 별자리 지상에 연출한 듯한 BTS 광화문 공연
- 주사제로 콜라겐 생성 유도… 피부 탱탱하게 하는 미용 시술의 과학적 원리
- [영상] 사찰 안내하고 불교 교리도 설명… 동국대에 세계 최초 AI 로봇 스님 등장
- 젠슨 황 ‘우주 데이터센터’ 새 비전 발표… 한국 태양광 기업 힘 받는다
- ‘활력 충전’ 제철 밥상
- 소유보다 경험에 돈 써야 행복해진다
- “트럼프, 전쟁 계속하라”… 네타냐후와 빈 살만, 이란 신정체제 붕괴에 의기투합