[영·수야 놀자] 서울과학고 김국인 쌤의 재미난 수학세계-배시원 쌤의 신나는 영어여행
서울과학고 김국인 쌤의 재미난 수학세계 - 전염병 고치는 이차곡선

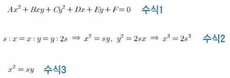
이번 호에서는 기하와 벡터에 등장하는 이차곡선에 대해 살펴본다. 이차곡선에는 포물선(parabola) 원(circle) 타원(ellipse) 쌍곡선(hyperbola)이 있는데, 왜 이차곡선이라 부르게 되었을까. ‘이차’라는 말에서 눈치껏 생각해 보면 좌표평면에서 곡선의 방정식이 [수식1]과 같이 이차식으로 표현되는 곡선을 이차곡선이라고 한다.
그럼 수식이 없던 시절에는 이런 곡선을 어떻게 부르며 다루었을까. 고대 그리스의 수학자 메나에크무스는 기하학의 3대 난제 중 하나인 배적 문제를 해결하는 과정에서 포물선을 다루었다고 한다. 고대의 수학은 기하학이라 할 수 있는데, 기하학의 주요 문제는 도형을 눈금 없는 자와 컴퍼스 만으로 작도가 가능한지 밝히는 것이다. 자와 컴퍼스로 작도할 수 없는 도형이 세 가지 있는데 그 중 하나가 배적문제에 나오는 도형이다.

그리스의 한 지방에 전염병이 돌았는데, 사람들은 아폴론 신전에 병을 고쳐 달라고 기도했고, 아폴론으로부터 다음과 같은 신탁을 받았다. “지금 신전에 정육면체 모양의 제단이 있는데, 이 제단의 부피를 2배로 늘린다면 병을 낫게 해주겠다.” 사람들은 제단의 부피를 2배 늘리기 위해 한 변의 길이를 작도하려고 했지만 그 방법을 찾을 수 없었다. [그림 1]
배적 문제는 길이가 s, 2s인 두 선분 사이에 있는 두 개의 비례중항을 찾는 문제로 변형할 수 있다. [수식2]
당시 수학자 메나에크무스는 자와 컴퍼스가 아닌 원뿔을 이용해 정확히는 원뿔을 자를 때 생기는 단면의 모양인 곡선(포물선)을 이용하여 배적문제를 해결하였다. 꼭짓각이 직각인 원뿔을 모선에 수직으로 자른 단면의 모양을 생각해 보자. [그림 2]
비슷한 방법으로 OA의 중점을 지나고 모선에 수직인 평면으로 자른 단면의 모양에서 관계식 [수식 3]을 만족하는 곡선을 찾을 수 있으므로 두 곡선을 [그림 3]과 같이 놓으면 배적문제를 해결할 수 있는 길이를 찾을 수 있다.
이제 이 곡선(포물선)을 자와 컴퍼스로 작도할 방법을 찾기만 하면 배적문제는 완전히 해결되리라 기대를 걸었다면 대답은 ‘No’다. 메나에크무스를 비롯한 많은 수학자들이 도전했지만 실패했다. 오히려 많은 세월이 지난 뒤 작도가 불가능하다는 것이 증명되었다.
하지만 원뿔을 자른 단면으로 곡선의 모양을 크게 세 가지 포물선 타원 쌍곡선으로 분류할 수 있었다는 점에서 큰 의미가 있다 하겠다. 아폴로니우스는 원뿔을 자르는 각도에 따라 포물선 타원 쌍곡선으로 분류하고 증명하였다. 이런 의미에서 이차곡선을 원뿔 곡선 또는 원추 곡선이라고 한다.
다음 호에서는 이차곡선의 성질에 대해 알아 보자.

■김국인 선생님
김국인 선생님은 현재 서울과학고등학교에 근무하신다. 서울대에서 수학교육을 전공하였으며 서울대 대학원에서 수학교육으로 석사학위를 받았다. 현재 전국연합 모의고사 출제위원으로 활동하고 있다.
배시원 쌤의 신나는 영어여행 - House of Cards

House of Cards는 놀이용 카드를 삼각형 모양으로 세워 탑처럼 쌓아 올리는 구조물에서 유래. 한 가운데가 비어 있어 언제 무너질지 모르는 위태로운 상황을 나타낼 때 사용하는 표현.
넷플릭스(Netflix)는 가입자가 6000만명에 육박하며, 영화·TV 프로그램 같은 영상 콘텐츠를 맘껏 볼 수 있는 온라인 동영상 스트리밍 서비스입니다. ‘넷플릭스’라는 이름은 인터넷(NET)과 영화(flicks)에서 따왔다고 하는데, 이제는 단순히 영상을 유통하는 것을 넘어 스스로 양질의 콘텐츠를 제작하기도 합니다.
그중에서도 House of Cards는, 넷플릭스(Netflix)에서 만든 미드로 버락 오바마 미국 대통령과 시진핑 중국 국가주석도 열렬한 팬이라고 합니다. 그런데 왜 하필 제목이 House of Cards일까요? 혹시 ‘타짜’처럼 도박판의 이야기일까요?
원래 House of Cards는 놀이용 카드를 삼각형 모양으로 세워 탑처럼 쌓아 올리는 구조물에서 유래한 표현입니다. 한 가운데가 비어 있는 엉성한 구조라 언제 무너질지 모르는 위태로운 상황이나, 불안정한 계획을 나타내는 표현인데, 이 드라마에서는 권모술수가 난무하는 불안한 정치권력을 가리키는 말이랍니다.
넷플릭스(Netflix)의 또 다른 화제작 중에, Orange is the new black이라는 미드도 있습니다. 여기서 the new black은 [최신 유행] 정도로 이해하시면 됩니다. 원래 유럽에서 검은색은 여성들이 장례식장에서나 입는 색이었는데, ‘코코 샤넬’이 검은색 드레스를 우아함의 상징으로 만들어서, 그 이후에는 the new black이란 단어가 ‘최신 유행’을 의미하게 되었다고 하네요.
그래서 Orange is the new black은 굳이 우리말로 번역하자면, ‘오렌지 색(죄수복 색깔)이 대세여~!!!’ 정도가 될 것 같습니다~^^*
제목이 말해주는 것처럼, 교도소 안에서 벌어지는 이야기입니다. 내용이 다르기 때문에 Prison Break의 ‘여성판’이라고 하기에는 좀 무리가 있지만, 여자 감옥에서 벌어지는 정말 다양하고 생생한 이야기를 담고 있다는 점에서 왠지 비슷한 느낌이 들기도 합니다.
이 두 편 모두 big data를 기반으로 만들어졌다고 하는데, 정보의 홍수 속에서 살아가는 우리들에게, knowhow(어떻게 정확한 방법을 아는지)만큼 knowwhere(내가 원하는 정보는 어디서 찾을 수 있을지 아는 법)도 중요하게 다가오는 것 같습니다.

■ 배시원 선생님
배시원 선생님은 호주 맥쿼리대 통번역 대학원에서 석사학위를 받았으며 현재 배시원 영어교실 원장을 맡고 있다. 김영 편입학원, YBM, ANC 승무원학원 등에서 토익·토플을 강의했다. 고려대 성균관대 등 대학에서도 토익·토플을 가르치고, 한영외고 중앙고 숭문고 등에서 방과후 텝스를 강의했다.
[한경닷컴 바로가기] [스내커] [슈퍼개미] [한경+ 구독신청] ⓒ '성공을 부르는 습관' 한경닷컴, 무단 전재 및 재배포 금지
Copyright © 한국경제. 무단전재 및 재배포 금지.
- 서울과학고 김국인 쌤의 재미난 수학세계-배시원 쌤의 신나는 영어여행
- 서울과학고 김국인 쌤의 재미난 수학세계-배시원 쌤의 신나는 영어여행
- 홈플러스 직원 1인당 받는 위로금이..이 정도야?
- 알바생 밀린 월급 32만원 10원짜리로 준 사장 결국
- [화보] 티아라, 초미니 핫팬츠 사이로..뭐지? '민망'
- 충격 소식에 잘나가던 주가 '휘청'…한국전력 개미 어쩌나 [종목+]
- "하루 만에 2800만원 벌었대"…'결혼자금 영끌 투자' 공무원 화제
- 수백만원짜리 샤넬 운동화 하자에도 묵묵부답...명품 '배짱 영업'에 '황당'
- 삼전닉스 비중 70% 육박…'한도 초과' ETF에 뭉칫돈
- "공원 옮기고 재건축"…3000가구 넘는 대단지로 탈바꿈하는 ‘이 곳’