
자가 운전자라면 미끄러운 오르막길을 오르는 자동차의 바퀴가 헛돌고 올라가지 못하는 경우를 흔히 경험하였을 것이다. 이런 경우에 차량이 미끄러지지 않고 언덕길을 올라가려면 짐이나 승객을 더 실어 차량의 하중을 증가시켜야 하나? 아님 감량을 하여야 할까? 또 다른 Issue를 던져보자. 동일한 차량에 짐을 많이 실은 경우와 짐을 싣지 않아 가벼운 경우에 고속 주행을 하다 급제동을 하게 되면 어느 차량의 제동거리가 짧을까? 이번에는 대기 또는 노면 온도와 관련된 질문을 던져보자. 동일한 타이어를 장착한 동일한 차량이 무더운 여름철과 추운 겨울날 제동시험을 하면 어느 쪽의 제동거리가 길어질까? 물론 마른 상태의 동일 노면으로 가정하자.
물론 이 분야의 약간의 전문성만 있어도 상기 질문에 대하여 쉽게 설명할 수 있을 것이다. 이러한 질문에 대한 적절한 답을 찾기 위해서는 물체의 마찰 특성의 이해가 필요하다. 차량 또는 타이어 제동거리를 결정하는 기본적인 물리 현상은 노면과 이와 접촉하는 타이어 고무의 마찰 특성의 이해로부터 출발하게 된다. 고무 마찰이나 타이어 그립력은 하중이나 대기 온도 특성에 매우 민감하게 반응하게 된다.
본 고에서는 제동 특성의 근간을 이루는 고무 마찰 특성에 대한 하중과 온도의 민감도 이해를 통하여 타이어 특성에 대한 하중과 온도의 영향도를 파악하고자 한다.
타이어 제동특성과 고무 마찰 특성에 대한 온도 영향의 고찰
●고무 마찰 특성에 대한 온도 영향도
고무 마찰 시험은 <그림 1>에 표현된 당사 보유 실내 마찰시험기인 RTMS를 활용하여 진행하였다. 본 시험기는 온도, 하중 그리고 시편의 회전 속도 등을 제어할 수 있다. 노면은 흔히 실내 시험에 사용되는 120 그리드 거칠기의 사포를 이용하였다. 그리고 회전 속도는 30km/h, 하중은 실제 타이어에 가해지는 접지압과 유사 수준의 접지압을 확보할 수 있도록 70N으로 진행하였다.

고무 마찰 특성에 대한 온도 영향도를 분석하기 위하여, 상기 <그림 2>에 LAB 마찰 시험기인 RTMS를 활용하여 20~50℃ 영역에서 측정한 고무 마찰 시험 결과를 표현하였다. 본 시험에 사용한 시편은 타이어 트레드에 사용하는 당사 고무를 대상으로 실시하였다.

<그림 2>는 Slip ratio 변화에 따른 마찰계수를 의미하는 것으로 흔희 μ-s 선도라고 한다. μ-s 선도에서 가장 높은 마찰계수를 Peak friction coefficient라 하며, 이 값은 차량에 장착된 타이어의 제동거리를 결정하는 매우 중요한 특성치로 인식되고 있다. <그림 2>에서 Y축의 Friction coefficient는 고무 시편과 노면과의 마찰계수를 의미하고, X축의 Slip ratio는 식 1)과 같이 노면의 회전 속도와 시편의 회전 속도에 대한 상대비를 의미한다.

식 1)에서 와 은 노면과 시험 시편의 회전 속도를 의미한다. 시험 결과에 따르면 <표 1>과 <그림 3>에 표현된 것처럼 온도가 증가함에 따라 Peak friction coefficient
값은 감소하는 것을 볼 수 있다. 이는 고무가 주성분인 타이어의 온도가 증가하면 차량의 제동 성능이 감소함을 의미한다. 마찰 시험기 내부 온도 변화에 따른 마찰계수 변화 추이를 <표 1>로 수록하였다.
●타이어 제동 성능에 대한 온도 영향도
동일 차량에 동일 타이어를 장착하여 실시한 여름과 겨울철에 대한 계절별 제동거리 평가 결과에 의하면 <그림 4>와 같이 계절별로 상이한 제동 결과를 확인할 수 있었다.

실험에 사용된 타이어는 225/45R17 규격의 당사 제품으로 국내 H사의 중형 차량에 장착후 마른 Asphalt 노면에서 제동 평가를 실시하였다. 시험시 주행 속도는 100Km/h로 진행하였다. 시험 결과에 따르면 여름철의 제동 결과가 겨울철에 비하여 약 2m 정도 길게 평가되었다. 물론 본 시험 결과를 일률적으로 적용할 수 없고, 타이어 규격이나 타이어 트레드에 사용한 고무의 특성에 따라 온도 민감도는 달라 질 수 있다. 시험 당시의 대기온도와 노면 온도는 <표 2>와 같다.
●제동거리 및 마찰 특성에 대한 온도 민감도 분석 결과
<표 2>와 같이 계절별로 상이한 제동 성능 결과를 검증하기 위하여 Pattern이 있는 두 종류의 타이어와 Pattern이 없는 1종의 타이어를 준비하여 온도 변화에 대한 제동거리 특성 변화를 보다 정량적이고 체계적인 시험을 진행하였다. 1차적으로 <그림 5>와 같이 Pattern이 있는 두 종류의 타이어를 이용하여 측정한 제동거리 시험 결과에 의하면 온도가 감소할수록 제동거리가 짧아지는 것을 확인할 수 있었다.
타이어 Pattern 효과를 배제하고 타이어 고무만의 마찰 특성에 대한 온도 민감도를 분석하였다. 이를 위하여 보다 정량적인 평가 및 분석을 위하여 흔히 레이싱 타이어에 적용하는 Pattern이 없는 Smooth(또는 Slick) 타이어를 이용하여 다양한 온도 영역에서 제동거리 평가를 실시하였다. 시험 결과에 따르면 <그림 6>에 표현된 것처럼 노면 온도 10℃ 증가에 제동거리가 약 0.5m 길어짐을 확인할 수 있었다.
상기 두 종류의 시험 결과를 요약하면 <그림 7>에 표현된 것처럼 10℃ 온도 상승에 Smooth 타이어의 경우에는 제동거리가 0.5m 증가하고, Pattern 형상이 있는 타이어는 약 1.1m가 길어짐을 확인하였다. 이와 같이 Pattern 형상 유무에 따라 제동거리의 온도 의존성이 달라지는 이유는 타이어 트레드의 강성 차이로 인한 온도 민감도가 다르기 때문이며, 이에 대한 설명은 보다 전문적 영역이므로 본 고에서는 다루지 않기로 한다.
이와 같이 온도에 따라 타이어 제동거리가 변하는 것은 자연계의 모든 물질이 온도 증가로 더워지면 부피가 증가하는 것과 같은 이치로 자연스러운 현상으로 이해할 수 있다. 실제로 기차선로는 여름철에 부피 증가로 선로 변형이 발생하게 된다. 이와 같은 선로 굴곡이 생기는 것을 방지하기 위하여 선로 설치시, 중간 중간을 부분적으로 단절시킨다. 이러한 방법도 일종의 온도 변화에 의한 부피 변화로 발생할 수 있는 사고를 예방하기 위한 노력의 일환이다.
●온도 증가에 따라 타이어 제동 성능과 고무 마찰계수 감소 원인에 대한 규명
온도가 증가하면 제동 성능이 왜 저하될까? 일반적으로 온도 증가는 고무의 마찰계수를 감소시키고 제동거리를 길게 하는 원인이 된다. 그렇다면 온도 증가가 마찰계수를 감소시키는 이유는 무엇일까?
온도 증가가 마찰계수를 감소시키는 원인은 두 가지로 설명할 수 있다. 첫째 온도 증가시 노면의 거칠기가 변한다. 노면 거칠기 개념도를 표현한 <그림 8>에 의하면 노면의 거칠기는 Macro-texture와 Micro-texture의 조합으로 표현할 수 있다. <그림 8>의 a 노면은 Macro와 Micro가 함께 존재하는 형상이고, Macro와 Micro 형상만 있는 b, c와 그리고 Macro, Micro 형상 모두 발달되어 있지 않는 d 형태로 분류하고 있다. 일반적으로 빙판과 같은 노면인 d 형상이 가장 미끄럽고 Asphalt 노면과 같은 a 형상이 가장 거칠고 마찰계수가 높은 노면으로 알려져 있다. 온도가 상승하여 고온이 되면 노면 거칠기는 a 형상에서 b로, c 형상에서 d로 거칠기가 부드러운 노면으로 변하게 되어, 마찰계수를 감소시키는 요인이 된다.


두 번째로 <그림 9>와 같이 타이어의 마찰 특성을 결정하는 점탄성이라고 부르는 고무 물성이 온도의 함수이기 때문이다. 마른 노면의 마찰 특성을 이해하기 위해서는 0℃ tan℃로 알려져 있는 점탄성 물성을 주로 이용하고 있다. 일반적으로 0℃ tan℃가 감소하면 마른 노면의 마찰계수가 감소하는 것으로 알려져 있고, 온도가 증가하면 0℃ tan℃ 값 역시 감소하기 때문에 마찰계수가 감소하게 된다. 고무 마찰력 또는 타이어 그립력에 대한 하중 영향도 고찰타이어의 제동 & 구동 특성과 관련 있는 마찰 특성 평가를 위하여 관련 연구소에서는 Flat Trac(이하 F/T이라 칭함)이라는 Force & Moment 특성 평가용 실내 마찰 시험기를 주로 사용하고 있다. <그림 10>은 F/T을 활용하여 215/65R15H 규격의 당사 타이어에 대한 마찰 특성 평가 결과를 표현한 것이다.

본 시험은 하중 조건을 표준 하중(100% 조건)의 70%에서 130%까지 변화를 시키며 하중 변화에 따른 마찰 특성의 변화 경향을 분석하였다. 마찰계수에 대한 하중의 영향도를 보다 정량적으로 분석하기 위하여 하중과 마찰계수 값을 Log-log 스케일로 <그림 11>에 표현하였다. 분석 결과에 따르면 서론에서 화두를 던진 것처럼 하중이 증가하면 마찰계수는 감소하는 것으로 알려져 있다.

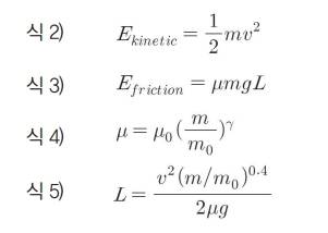
<그림 11>의 분석 결과에 따르면 피크 마찰계수는 하중에 대한 지수 함수 형태의 감소 경향을 갖는 것으로 나타났다. 일반적으로 운동하고 있는 물체는 노면과 물체의 마찰에 의하여 정지하게 되고, 정지 소요 시간 또는 이동 거리는 두 물체간의 마찰계수에 의하여 결정된다.운동에너지를 표현한 식 2)와 마찰에너지 식 3)을 이용한 에너지 평형식과 마찰계수의 하중 의존식 식 4)로부터 제동거리(L)에 대한 식 5)를 유도할 수 있었다.
식 5)에서 L은 제동거리(m), V는 속도를 의미하고 M과 U와 G는 하중과 마찰계수 그리고 중력 가속도를 의미한다. 그리고 하중 지수 index 0.4는 <그림 11>에 표현한 것과 같이 RTMS를 이용하여 측정한 마찰계수 분석결과부터 구할 수 있었다. 식 5)에 의하면 마른 노면에서의 제동거리는 속도 제곱에 비례하고, 하중에는 0.4 지수승에 비례하여 증가하는 것을 알 수 있다.
글 / 오염락 (한국타이어)
출처 / 오토저널 2018년 10월호 (http://www.ksae.org )
Copyright © Global Auto News