이장우, 4천만 원 미수금 논란에 이체 내역까지 공개 "이미 지급"[공식]
전체 맥락을 이해하기 위해서는 본문 보기를 권장합니다.
배우 이장우가 돼지 부속물 대금을 지급하지 않았다는 의혹에 "호석촌은 납품 대금 전액을 계약상 거래처인 주식회사 무진에 이미 지급했고 이후 무진이 A업체에 대금을 지급하지 못하면서 문제가 발생했다"고 해명했다.
17일 이장우 소속사 후너스엔터테인먼트 측은 이장우가 운영하는 순대국집이 돼지 부속물 대금 4천만 원을 8개월 째 지급하지 않고 있다는 보도에 대해 "이장우는 호석촌의 주주와 운영에 참여하고 있다"며 "A업체와 호석촌 또는 이장우 간에는 직접적인 계약관계가 없으며, 이장우가 대금을 지급하지 않은 것처럼 보도된 내용은 사실이 아니"라고 설명했다.
이 글자크기로 변경됩니다.
(예시) 가장 빠른 뉴스가 있고 다양한 정보, 쌍방향 소통이 숨쉬는 다음뉴스를 만나보세요. 다음뉴스는 국내외 주요이슈와 실시간 속보, 문화생활 및 다양한 분야의 뉴스를 입체적으로 전달하고 있습니다.
"사안 원만히 해결될 수 있도록 협조할 것"
[이데일리 스타in 김가영 기자] 배우 이장우가 돼지 부속물 대금을 지급하지 않았다는 의혹에 “호석촌은 납품 대금 전액을 계약상 거래처인 주식회사 무진에 이미 지급했고 이후 무진이 A업체에 대금을 지급하지 못하면서 문제가 발생했다”고 해명했다.

이어 “일부 보도에서 언급된 ‘무진이 호석촌의 주인이었다’는 내용 역시 사실과 다르며, 무진은 호석촌의 지분을 보유한 적이 없다. 이장우 배우는 무진과도 아무런 관련이 없다”고 선을 그었다.
거래 구조 속에서 중간업체의 이행 여부를 충분히 살피지 못한 점에 대해서는 도의적 책임을 느끼고 있다면서 “납품업체 측이 사회관계망서비스(SNS)를 통해 연락을 시도했다는 부분과 관련하여, 이장우 계정에는 하루에도 수십 건 이상의 메시지가 수신되고 있으며, 팔로우하지 않은 계정의 메시지는 별도의 ‘메시지 요청’함으로 분류되어 즉시 확인이 어려운 구조. 이에 따라 해당 메시지를 적시에 확인하지 못한 것은 사실이나, 이를 고의적으로 회피하거나 무시한 것은 아님을 분명히 말씀드린다”고 전했다.

이장우 소속사 입장 전문
안녕하세요, 후너스엔터테인먼트입니다.
최근 보도된 이장우 배우 관련 ‘호석촌 미수금’ 논란에 대해 말씀드립니다.
이장우 배우는 호석촌의 주주와 운영에 참여하고 있습니다. 호석촌은 납품 대금 전액을 계약상 거래처인 주식회사 무진에 이미 지급하였고, 이후 무진이 A업체에 대금을 지급하지 못하면서 문제가 발생한 것입니다.
즉, A업체와 호석촌 또는 이장우 배우 간에는 직접적인 계약관계가 없으며, 이장우 배우가 대금을 지급하지 않은 것처럼 보도된 내용은 사실이 아닙니다. 또한 일부 보도에서 언급된 ‘무진이 호석촌의 주인이었다’는 내용 역시 사실과 다르며, 무진은 호석촌의 지분을 보유한 적이 없습니다. 이장우 배우는 무진과도 아무런 관련이 없습니다.
다만, 이러한 거래 구조 속에서 중간업체의 이행 여부를 충분히 살피지 못한 점에 대해서는 도의적 책임을 느끼고 있습니다.
또한 납품업체 측이 SNS를 통해 연락을 시도하였다는 부분과 관련하여, 이장우 배우의 계정에는 하루에도 수십 건 이상의 메시지가 수신되고 있으며, 팔로우하지 않은 계정의 메시지는 별도의 ‘메시지 요청’함으로 분류되어 즉시 확인이 어려운 구조입니다. 이에 따라 해당 메시지를 적시에 확인하지 못한 것은 사실이나, 이를 고의적으로 회피하거나 무시한 것은 아님을 분명히 말씀드립니다.
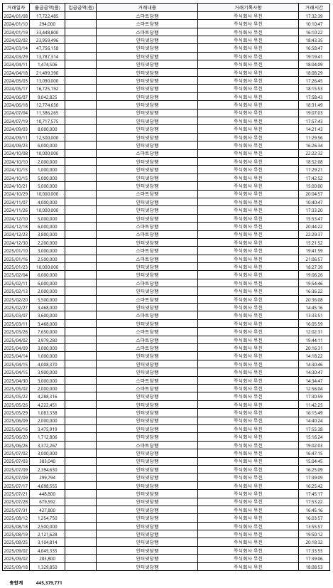
참고로, 호석촌이 무진에 대금을 지급한 내역은 확인 가능한 자료로 첨부드립니다.
사실과 다른 내용으로 오해가 발생한 점에 대해 유감을 표하며, 사안이 원만히 해결될 수 있도록 필요한 협조를 다하겠습니다.
김가영 (kky1209@edaily.co.kr)
Copyright © 이데일리. 무단전재 및 재배포 금지.
- '자동차 5·10부제' 검토 착수…IMF 때처럼 민간에도 적용할까
- “옆자리 동료가 부모 돈으로 집샀대요”…최대 40억 포상금에 제보 봇물
- "이거 뭐야" 장원영도 감탄…한국서 대박 난 대륙의 맛
- “남편 ‘식물인간’ 만들고 사과를 이딴 식으로”…머리채 잡은 아내
- “은퇴 후 먹고 살기 힘들어”…빚더미에 앉은 60대[only이데일리]
- 넷플릭스 안 되는데?…中 '월간남친' 도둑 시청 논란
- "李대통령 부부도 샀다"…창원 시장서 고른 K뷰티 뭐길래
- “금·구리 상승세 앞질렀다”…1년 새 557% 급등한 ‘이것’
- “얼굴뼈가 조각나도록…” 승객 폭행에 의식불명 빠진 택시기사 딸 ‘울분’
- '육삼정'에 모인 아나키스트들 [그해 오늘]