[재미있는 수학] 알함브라의 붉은 성벽 속에 숨겨진 수학적 설계
알함브라의 수로는 단순한 과거의 유산이 아니라, 시대를 초월해 오늘날 디지털 세상과 우리를 잇는 거대한 연결의 도구입니다. 700년 전 그라나다의 공학자들이 물의 흐름을 제어하기 위해 고군분투했던 설계 논리는 놀랍게도 현재 우리가 광섬유를 통해 수조 개의 데이터 패킷을 전송하는 현대 네트워크의 핵심 알고리즘과 완벽하게 맞닿아 있습니다.

스페인에서 가장 아름다운 건축물을 꼽으라고 한다면 가우디의 대성당이나 바르셀로나의 웅장한 건축물 사이에서 쉽게 순위를 매길 수는 없을 것입니다. 하지만 저는 높은 고원 위에서 붉은 벽돌의 위용을 자랑하며, 주변 환경과 완벽하게 어우러진 알함브라 궁전을 단연 으뜸으로 꼽고 싶습니다. 이 궁전이 제 마음을 사로잡은 것은 단순히 건물의 화려함이 아니라, 높은 곳에 자리하면서도 정원이 자연과 조화를 이루며 정교하게 가꿔져 있다는 점이었습니다. 그리고 이 생명력 넘치는 정원을 가능하게 한 핵심은 바로 곳곳에서 넘실대는 맑은 물입니다.
9세기경에 세워진 작은 요새를 기반으로 나스르 왕조의 창시자 무함마드 1세는 1238년에 성벽과 궁전의 기틀을 잡으며 메마른 고원 위에 낙원을 건설하겠다는 거대한 꿈을 꾸기 시작했습니다. 뜨거운 태양 아래 생명을 불어넣을 물을 확보하는 일은 무엇보다 시급한 과제였고, 이를 위해 수 킬로미터에 달하는 정교한 수로 시스템이 설계됐습니다. 알함브라의 물은 수 킬로미터 떨어진 다로강에서 ‘아세키아 레알(Acequia Real)’이라는 메인 관로를 통해 들어옵니다.
수로를 건설하던 설계자들이 깊은 골짜기라는 거대한 장애물을 만났을 때, 그들은 포기하는 대신 수학적 통찰력이 담긴 ‘역사이펀 구조’를 탄생시켰습니다. 관을 U자 형태로 땅 밑 깊숙이 매설해 떨어지는 물의 압력이 다시 반대편 높은 곳까지 물을 밀어 올리도록 한 이 설계는 참으로 경이로운 도전이었습니다. 이는 수압의 가중치를 정교하게 계산해 위치에너지가 운동에너지로 변환되고 다시 위치에너지로 복원되는 물리적 법칙을 완벽하게 활용함으로써 인간의 이성이 자연의 한계를 극복해낸 위대한 승리의 기록입니다.
설계자들은 물이 반드시 필요하다고 생각한 주요 정원과 분수대를 그래프의 꼭짓점으로 삼고, 그 사이를 잇는 정교한 수로 경로를 촘촘하게 설계했습니다.
알함브라 궁전의 수로 시스템은 단순히 물을 나르는 통로가 아니라, 현대의 데이터 네트워크와 놀라울 정도로 닮은 수학적 설계의 결정체입니다. 14세기의 공학자들은 보이지 않는 물의 흐름을 제어하기 위해 오늘날의 알고리즘과 같은 논리를 적용했습니다.
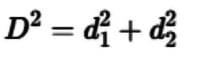
먼저 그들은 물의 유량을 일정하게 유지하기 위해 관의 굵기를 정교한 수학적 비례식으로 조정했습니다. 예를 들어 하나의 원줄기 수로에서 두 개의 분수로 물을 나눠 보낼 때, 단순히 관의 지름을 절반으로 줄이지 않았습니다. 그 대신 각 통로의 단면적 합이 원줄기의 단면적과 완벽하게 일치하도록 제곱근의 비율을 적용했습니다. 이를 수식으로 나타내면 다음과 같습니다.

만약 원줄기 관의 지름(D)이 10 단위라면, 나눠지는 두 관의 지름(d)은 각각 약 7 단위가 되어야 합니다. 7의 제곱인 49 두 개를 더해야 원래의 100에 가까워지기 때문입니다. 이러한 설계를 통해 유속이 느려지지 않고 동일한 양의 물이 궁전 끝까지 힘차게 도달할 수 있었습니다.
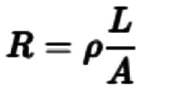
또한 수로가 길어질수록 관 내부의 마찰로 인해 수압이 약해지는 현상을 막기 위해, 도착 지점이 멀수록 관의 굵기를 비례적으로 넓혀 저항을 최소화하는 고도의 수치 계산을 거쳤습니다.

여기서 저항(R)은 길이(L)에 비례하고 단면적(A)에 반비례합니다. 알함브라의 수로는 현대의 상수도 설계나 회로 기판에서 전압 강하를 고려해 선의 굵기를 결정하는 원리와 일맥상통합니다. 이러한 정교한 비례의 원리 덕분에 모든 분수는 지형의 고도와 거리에 관계없이 마치 살아있는 유기체처럼 일정한 압력을 유지할 수 있었습니다.
물은 에너지를 가장 적게 쓰며 낮은 곳으로 흐르는 성질을 지니고 있습니다. 이는 현대 데이터가 최적의 경로를 찾아가는 ‘다익스트라(Dijkstra) 알고리즘’과 원리가 같습니다. 설계자들은 물이 멈추지 않도록 수로의 기울기를 정교하게 계산했는데, 이는 마찰 저항이라는 ‘비용’을 최소화하는 수학적 최적화 과정이었습니다. 결국 알함브라의 수로는 별도의 동력 없이도 가장 효율적인 길을 찾아내는 현대의 라우팅(routing) 기술을 물리적으로 미리 완성해놓은 셈입니다.

알함브라의 물길은 단순한 자연의 흐름을 넘어, 물리적 한계를 정교한 수학적 설계로 극복해 척박한 땅에 낙원을 일궈낸 인류의 도전 정신을 상징합니다. 중력의 법칙을 활용해 가장 효율적인 경로를 찾아내는 이 시스템은 결국 수학이 시공간을 초월해 세상을 가장 조화롭고 효율적으로 연결하는 보편적 언어라는 사실을 우리에게 증명해 보입니다. 물의 흐름에서 시작된 고대의 지혜가 현대의 정보 흐름으로 이어지는 이 놀라운 연결고리는 우리가 배우는 수학이 시대를 관통하며 세상을 움직이는 실질적 진리라는 점을 일깨워줍니다.
- [커버스토리] AI發 종말론, 어디까지 진실일까? | 생글생글
- [2027학년도 대입 전략] 내신 9등급제 마지막 해…반수생 역대 최대 전망…지역의사제, 의약계열·
- 그리스 탈레스와 조선 허생이 큰돈 번 사연 [고두현의 문화살롱] | 생글생글
- [영어 이야기] 주식시장이 크게 반등할 때 'rally' | 생글생글
- [경제야 놀자] '민스키 모멘트'…과도한 빚이 부른 강세장의 끝 | 생글생글
- [김동욱의 세계를 바꾼 순간들] 청나라 경제 발목 잡은 '물가상승' | 생글생글
- [대학 생글이 통신] 3월 학평 준비는 기본기 복습부터 | 생글생글
- [커버스토리] AI발 종말론은 미래 대비하라는 경고…'사스포칼립스'는 이미 진행 중인 현실 | 생
- [홍성호 기자의 열려라! 우리말] '자정'보다 '밤 12시'가 좋아요 | 생글생글
- [커버스토리] AI가 만드는 '유령 GDP'…위기 부르나?, "수요 부족은 총생산 다시 줄여" 반박도 | 생