[단독] "그 11억은, 꼼수입니다"…W코리아, 기부 내역 체크
전체 맥락을 이해하기 위해서는 본문 보기를 권장합니다.
1. W코리아에서 기부금 세부내역을 보내왔습니다.
2. W코리아는 "기부금에 대한 오해가 있는 것 같다"며 "지금까지 (브랜드 등과 함께) 합산한 기부액은 11억 원이 맞다"며 기사 정정을 요청했습니다.
4. W코리아가 전달한 기부금 내역서를 그대로 공개합니다.
5. W코리아가 (19년 동안) '그들' 이름으로 직접 기부한 총액은 4억 3,797만 970원입니다.
이 글자크기로 변경됩니다.
(예시) 가장 빠른 뉴스가 있고 다양한 정보, 쌍방향 소통이 숨쉬는 다음뉴스를 만나보세요. 다음뉴스는 국내외 주요이슈와 실시간 속보, 문화생활 및 다양한 분야의 뉴스를 입체적으로 전달하고 있습니다.

[Dispatch=이명주·이아진기자]
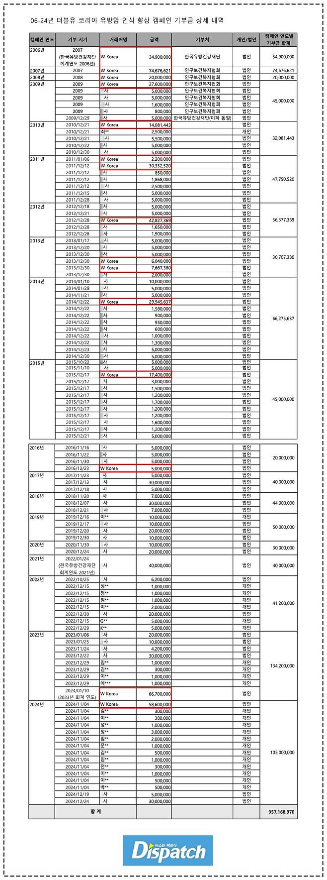
1. W코리아에서 기부금 세부내역을 보내왔습니다. 지난 19년 동안 진행한 기부금과 기부처가 적힌 엑셀 파일이었습니다.
2. W코리아는 "기부금에 대한 오해가 있는 것 같다"며 "지금까지 (브랜드 등과 함께) 합산한 기부액은 11억 원이 맞다"며 기사 정정을 요청했습니다.
3. "브랜드 등과 함께"라는 개념을 새롭게 꺼냈습니다.
4. W코리아가 전달한 기부금 내역서를 그대로 공개합니다.

5. W코리아가 (19년 동안) '그들' 이름으로 직접 기부한 총액은 4억 3,797만 970원입니다.
6. 한국유방건강재단 : 3억 1,569만 4,349원 + 인구보건복지협회 : 1억 2,227만 6,621원.
7. W코리아는 "2007년부터 2009년까지는 '인구보건복지협회'에 기부했다"면서 "이수진 의원실에서 공개한 자료에는 빠져 있다"고 해명했습니다.
8. 그래도, 한참 못 미칩니다. 11억 원 - 4억 원 = 7억 원. 대략 7억이 빕니다.
9. W코리아는 이 '차이'를 어떻게 해명했을까요?
10. "유방암 인식 향상 캠페인의 기부금은 (1) W코리아가 직접 전달한 금액과 (2) 캠페인에 참여한 기업 및 개인 의사에 따라 재단 측에 직접 전달한 금액을 합산해 진행하고 있습니다. 그래서 20년간의 기부 금액은 11억 원이 맞습니다." (W)

11. '디스패치'는 W코리아가 제공한 내역서를 다시 살폈습니다. W코리아, 브랜드, 개인이 기부한 금액을 다 합하니 9억 5,716만 8,970원이었습니다.
12. "그래도 9억 5,000만 원입니다. 나머지 1억 5,000만 원은요?" (디스패치)
13. W코리아가 재차 답했습니다.
14. "오는 12월 1억 5,000만 원을 추가로 기부할 예정입니다. 그래서 총 11억 원입니다." (W)
15. W코리아는 분명, 자사 홈페이지에 "20년 동안 누적 11억 원을 기부했다"고 선전했습니다. 하지만, 이 11억 원은 과거형이 아니라 (아직 내지 않은 돈까지 포함한) 미래형이었습니다.

16. '디스패치'는 국어사전을 꺼냈습니다.
17. 기부(寄附) : 자선 사업이나 공공사업을 돕기 위해 돈이나 물건 따위를 '대가 없이' 내놓음. (국립국어원 표준국어대사전)
18. W코리아가 '내놓은' 돈은 4억 원입니다. 나머지 7억 원은, 브랜드와 개인 등이 낸 것입니다. 그 돈까지 W코리아의 기부액으로 '퉁' 칠 수 있는 걸까요?
19. 예를 들어, 한 팬클럽에서 연예인 이름으로 기부했습니다. 그 연예인은 팬클럽 기부금을 자신의 기부액에 포함할까요? 지금까지, 그런 연예인은 없었습니다.
20. 다시, 국어사전을 펼쳤습니다. '기여'라는 단어를 찾아냈습니다.
21. 기여(寄與) : 도움이 되도록 이바지함.
22. W코리아는 더 정확하게 해시태그를 달아야 했습니다.
23. # 기부액 : 4억 원, # 기여액 : 7억 원.

24. 그래도 의문이 남습니다. 세금에 관한 부분인데요. 국세청은 기부금에 대해 일정 금액 세제 혜택을 주고 있습니다.
25. (W코리아의 주장대로) 브랜드 기부금을 자사 캠페인 기부금으로 합산했다면, 세제 혜택은 누가 받은 걸까요?
26. W코리아가 세제 혜택을 받았다면, 세금을 토해내야 합니다. 반대로 브랜드나 개인이 세제 혜택을 받았다면, 이는 W코리아의 기부액이 아니라는 방증입니다.
27. 브랜드나 개인의 기부 성격도 불분명합니다. '유방암 파티'에서 브랜드 노출 등의 홍보 이익을 누렸다면, 순수 기부인지 광고 협찬인지 경계가 불투명합니다.

28. '디스패치'는 두산그룹 박용만 회장의 기부 홍보 사진에 대해 추가로 질문했습니다.
29. "(박용만) 회장님은 2016년에 자선기금 5,000만 원이 적힌 판넬을 들고 기념사진을 찍었어요. 그런데 그해 브랜드와 일반인 기부금을 다 합해도 4,500만 원입니다. 반올림하셨나요?" (디스패치)
30. W코리아가 답했습니다. "개인 기부자 중에서 영수증 처리 안 한 분들도 있고요. 본인이 기부한 걸 알리기 싫어하는 분들도 있습니다."
31. '디스패치'는 (회장님이 들고 있는) 판넬을 다시 들여다봤습니다. "유방암 인식 향상 캠페인 자선기금"이라는 문구가 보였습니다.
32. 자선기금?
33. 기금은 특정 사업을 위해 조성한 자금입니다. 돈을 모으는 '기관'이 주체가 되어 관리합니다. '공익법인'이나 '비영리단체'가 그 역할을 합니다.
34. 다시 말해, 사기업은 기금을 조성할 수도, 운용할 수도 없습니다.
35. 브랜드나 개인이 유방암 재단에 직접 기부했다면, 이는 W캠페인의 기금이 아닙니다. 그 행위자의 기부입니다. W코리아가 자신의 공으로 돌릴 수 없는 부분입니다.

36. Love Your W.
37. W코리아가 사랑한 것은 무엇일까요. 그들의 파티는 한없이 화려했지만, 그들의 변명은 더없이 궁색합니다.
<취재ㅣ이명주·이아진 기자, 사진=W코리아, 두산그룹, 차병원>
Copyright © 디스패치. 무단전재 및 재배포 금지.