어느 곳보다 적극 태양광 발전 추진한 서울시, 오세훈 등장 후 달라졌다
"지난 4년, 서울시 소유 부지에 주민참여형 태양광 발전소는 단 한 곳도 못 올렸습니다."
김원국 태양과바람에너지협동조합 이사장은 지난 20일 <프레시안>과 통화에서 말했다. 태양과바람에너지협동조합은 서울시 내에 주민참여형 재생에너지 발전소를 확산하려는 재생에너지 협동조합 중 하나다. 2013년 설립돼 일 년에 평균 한 개씩은 꾸준히 태양광 발전소를 지어 왔다. 그러다 2021년부터 돌연 모든 신규 사업이 중단됐다. 2021년 4월 오세훈 서울시장이 취임한 후다.
주민참여형 에너지 협동조합들 사이에선 지난 4년이 "서울 태양광 재생에너지 운동의 고사 시기"라고 불린다. 에너지 협동조합을 지원하는 각종 지원 정책이 일제히 폐지됐고, 그중에서도 핵심인 공공 부지 임대를 원천 차단해 협동조합이 나아갈 길을 다 끊어놨다는 지적이다.
실제로 7개 특별·광역시 중 근래 태양광 발전 확대가 상승세를 보이지 않는 지역은 서울밖에 없다. 어느 지자체보다 적극적으로 태양광 발전을 추진해 왔던 서울시는 왜 갑자기 답보 상태가 됐을까. 서울시의 태양광 정책은 시장이 바뀌면서 방향성도 크게 변했다. <프레시안>은 현재 주민참여형 에너지 협동조합(이하 에너지협동조합)들이 처한 현실에서 그 단면을 들여다봤다.
취임 직후 태양광 감사부터… 발전소 우후죽순 취소
오세훈 시장이 취임한 해인 2021년 말, 큰 규모의 태양광 발전소 건립 계획이 돌연 취소됐다. 서남물재생센터와 지축차량기지 발전소 계획이다. 서남물재생센터 경우 설비용량이 392kW(킬로와트)로 상당한 규모의 발전소였다. 에너지협동조합들이 참여한 공공부지 활용 공모사업이었고, 서남물재생센터엔 4개 조합이, 지축차량기지엔 2개 조합이 공동 참여로 선정됐다.
대표 조합으로 참여했던 김미현 우리동네햇빛발전협동조합 사무국장은 1일 <프레시안>과 통화에서 "당시 서울시가 매우 높은 수준의 철저한 계획을 요구해, 사회적 가치 창출, 시민 참여, 공공 환원 방식 등 모든 주제를 꼼꼼히 설계하는 등 까다로운 준비 작업을 거쳐 진행됐던 사업"이라며 "그만큼 서울시는 면밀했고, 논의를 잘 끝내고 실시협약만 남겨둔 상태였다. 갑작스럽게 중단된 이유를 이해하지 못했다"고 밝혔다.
취소 이유는 공정성과 형평성 위반이었다. 서울시는 '특정 사업자에 공공부지를 임대하는 건 독점적 기회를 부여하는 것이며, 부지 임대료 인하, 행정·재정적 지원 등으로 다른 발전 사업자와 형평성에서도 어긋난다'고 밝혔다. 결국 이는 서울시의 마지막 공공부지 공모 사업으로 남았다. 서울시는 이후 4년 넘게 민간 발전사업자들을 대상으로 공공 부지 공모를 받지 않았다.
당시 오세훈 시장은 취임 직후 고 박원순 전 시장 시절 추진된 태양광 보급 사업에 대한 대대적인 감사를 실시했다. 서울시는 그 결과 30건의 지적 사항을 발견했다며 △태양광협동조합 주요 임원들이 서울시 자문위원회 위원 등으로 활동해 시 정책에 적극 관여했고 △이를 통해 사적 이익을 추구했으며, △공공부지 제공, 설치 자금 무이자 융자, 보조금 지원 확대 등의 과도한 지원도 요구했다고 밝혔다.

소규모 발전사업자 지원 전면 폐기
이에 따라 태양광 발전사업자를 지원했던 세 가지 주요 정책도 모두 폐지됐다. 서울시가 감사에서 과도한 요구라고 지적한 제도다.
협동조합 등 소규모 발전사업자가 혜택을 받을 수 있는 저리 융자 지원(기후변화기금)이 폐지됐다. 또 '서울형 FIT'라 불린 '햇빛발전 지원 보조금' 지원도 폐지됐다. 지은 지 5년에 한 해, 생산전력 1kW당 50~100원을 추가 보조해 주는 제도다. 태양광 발전은 초기에 상당한 비용이 들지만 자금 회수엔 평균 5~7년가량이 걸리기 때문에, 주민참여형 발전소를 보다 빨리 확산시키기 위해 설계된 지원책이었다.
나아가 태양광 발전소를 지을 수 있도록 공공부지를 임대하는 부지 공모 사업도 중단됐다. 도시는 땅값이 비싸고 넓은 부지도 찾기 어려워 에너지협동조합에 공공 부지는 의미가 크다. 김 사무국장은 "태양광 발전 현장에선 '90%가 부지에 달렸다'는 말이 있을 정도로 부지 문제가 중요하다"며 "이 활로가 다 끊겼다고 보면 된다"고 지적했다.
결국 소송까지 제기한 협동조합도 생겼다. 2021년 '수서역 북공영주차장 태양광 발전소 설치 무산' 사건에서다. 태양과바람에너지협동조합을 포함한 에너지협동조합 3곳이 공동으로 참여해 서울시와 실시협약까지 맺고 시행만 남겨 놓은 사업이었다. 그런데 담당 구청인 강남구청이 '공작물축조신고'를 거부하며 사업을 추진하지 못했다. 구청은 주민 항의 민원, 주변 경관 저해 등을 이유로 들었으나, 조합들은 '지자체장의 태양광 반대 의지'로 받아들였다.
이들은 행정소송을 제기해 1심에서 승소했으나, 2심에서 패소하며 끝내 발전소를 세우지 못했다. 강남구청의 공영 주차장 태양광 설치 반대는 지난 5월 정부가 통과시킨 신재생에너지법(신에너지 및 재생에너지 개발·이용·보급 촉진법)과도 상충한다. 태양광 에너지 확산을 위해, 오는 11월 말부터 일정 규모 이상의 전국 공영 주차장에 태양광 설치를 의무화한 법이다.
김 사무국장은 "서울시는 지원 정책들을 현장의 협동조합들과 긴밀히 논의하면서 만들었고, 지원제도가 마련된 2012년경을 기점으로 서울은 태양광 발전소가 급속도로 확대됐다"며 "그러나 2021년부터 모든 지원이 중단됐다. 재생에너지를 신속히 확산해야 할 기후위기 시대에, 정치에 의해 재생에너지 정책이 좌우됐다"고 말했다.

다른 지역 쭉쭉 느는데 서울만 천천히
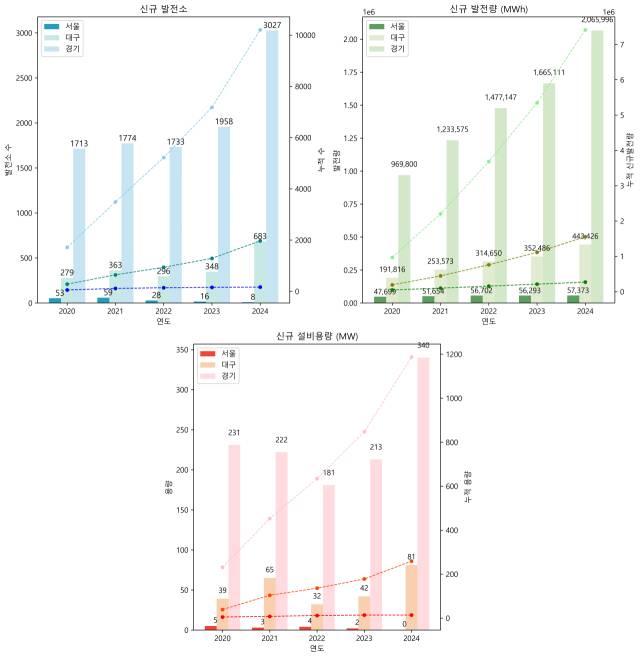
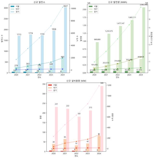
태양광 정책 기조가 크게 바뀐 2021년을 기점으로 서울시의 태양광 확산 속도는 눈에 띄게 느려진다. 2020~2024년 서울, 대구, 경기도의 연도별 신규 발전량(실제 발전량)을 보면 서울시만 직선 형태의 답보 상태를 보인다. 반면 대구와 경기는 증가한다. 신규 설비용량(새로 설치된 설비의 최대 용량)도 마찬가지다. 서울시만 감소 추세를 보이고 대구, 경기는 꾸준히 증가한다. 그 값도 서울과 차이가 크다.
신규 발전소 경우, 서울시는 매년 꾸준히 줄었다. 2020년 53개이던 발전소가 2024년 8개까지 대폭 감소했다. 반면 대구는 279개에서 683개로, 경기도는 1713개에서 3027개로 증가했다.


2006~2024년간 서울시에 등록된 태양광발전소 현황을 보면 2013~2021년 동안 매해 크게 늘었다. 그러다 2021년 이후부터 대폭 감소했다. 오세훈 시장 취임과 같은 시점이다. 지난 5년간 7개 특별·광역시의 신규발전소 현황을 봐도, 발전소 수가 감소한 지자체는 서울시밖에 없다. 나머지 6개 시는 모두 꾸준히 증가했다.
현재 서울시가 시행하는 주요 태양광 발전 보급 정책은 'BIPV' 보급 사업이다. BIPV는 건물일체형 태양광이란 뜻으로, 건축 자재에 태양광 발전 모듈을 결합해 전기를 생산하는 기술이다. 서울시는 민간 건축물을 소유한 신청자에게 발전량 kW당 최대 400~600만 원까지 BIPV 설치비, 설계비 등을 지원하고 있다.
서울시의 온실가스 배출량 감축 수준은 미흡한 수준이다. 서울시는 2005년 5234만 톤 온실가스 배출량 대비 2033년 배출량을 50%(2567만톤)로 감축한다는 목표를 세웠다. 서울시 탄소중립지원센터에 따르면, 서울시 2022년 온실가스 배출량은 4656만톤이다. 2005년 배출량의 89%에 달한다.
서울시 "공공태양광 확대 중, 신규 부지 발굴 어려워"
서울시 녹색에너지과 신재생에너지팀 관계자는 1일 <프레시안>과 통화에서 "공공기관이 자신의 부지에 직접 태양광 발전시설을 설치하는 공공태양광이 늘어나고 있고, 베란다 및 옥상형 태양광 보조금 사업과 BIPV 보급 사업을 시행하고 있다"며 "면적 1000제곱미터 이상의 신규 건축물 경우 관련법상 신재생에너지 설비를 의무로 설치해야 해 태양광이 기본적으로 설치가 되고 있다"고 말했다.
이 관계자는 다른 지역보다 서울시의 태양광 확산 속도가 느린 배경으로 "서울은 그동안 태양광 패널을 설치할 수 있는 공공부지는 상당 부분 설비가 설치된 상황"이라며 "신규 부지를 발굴하고 있지만 쉽지 않다"고 설명했다.
태양광 민간사업에 대한 정책적, 재정적 지원이 필요한지에 대해서는 "태양광 설비 효율도 좋아지고 전기료도 인상되는 등 관련 여건들이 예전보다 많이 좋아진 편이라, (과거 지원 정책과 같은) 재정적 지원의 필요성은 검토를 해봐야 할 것 같다"고 답했다.
김원국 이사장은 현재 서울시 에너지협동조합들의 상황에 대해 "기로에 놓여있다"고 전했다. 그는 "주민참여형 협동조합은 영리가 목적이 아니다. 주민들이 발전소를 공동으로 소유하고 민주적으로 운영해 이윤을 공동 배분하며, 이윤을 다시 공공에도 환원하는 등 공공성, 민주성, 투명성이 가장 중요한 단체"라며 "재생에너지 운동의 차원에서 참여하기에 어려워도 운영을 유지하지만, 정말 쉽지 않은 상황이다"라고 말했다.
지난 4년간 대형마트, 종교시설, 병원, 학교, 도서관, 관공서 등 서울 곳곳을 방문해 본 김 이사장은 "그러나 임대료 문제나 입지 조건의 문제, 태양광 시설에 대한 막연한 거부감 등으로 논의가 잘 이뤄진 곳은 아직 없다"며 "공공 부지는 본디 시민들의 소유이기에, 주민참여형 발전소에 공공 부지를 여는 것은 의미가 있다. 공공부지엔 최대한 태양광을 올리는 게 바람직하다"고도 강조했다.
그러면서 "신규 발전소를 지어야 자전거 페달을 밟으면서 나아갈 수 있는 건데, 협동조합들은 4년 넘게 페달도 못 밟고 앞으로 가질 못한다"면서 "정치인이 바뀌었다고 실시협약까지 파기하는 일이 없도록, 정치인에 재생에너지 정책이 좌우되지 않도록 법 제도가 확충될 필요가 있다"고 밝혔다.
[손가영 기자(bada@pressian.com)]
Copyright © 프레시안. 무단전재 및 재배포 금지.
- "트럼프, 보고 있나?"
- 북중러 밀착 불편한 트럼프? "美 대항 음모 꾸미는 푸틴·김정은에도 안부를"
- 급식실에서 10여 년 일하다 폐암 걸려 숨진 노동자, 최초로 순직 인정
- 김주애, 김정은 후계자로 확정? 다자외교 첫 데뷔 무대에 딸 데리고 나타나
- 김건희 결국 실토 "나토 목걸이 받은 것 맞다"…거짓말에 '모조품 쇼'까지 벌이더니
- 아프간 지진 사상자 급증…트럼프 집권후 지원 삭감한 미국은 "애도"만
- 이억원 "필요시 부동산 대출 규제 추가 대책 즉각 시행…주식 양도세, 기재부와 상의"
- 李대통령 "산재 단속이 건설경기 죽여? 불법·비인권 하면 되나"
- 주한미군 기지 내놓으라는 트럼프에 국방부 "'사용권'일뿐, 소유권 넘기는 제도 없어"
- 북유럽 얀테의 법칙과 국민주권시대