[위클리 건강] "증상도 없다가 갑자기 '식도암'…평생 술·담배가 화근"
전체 맥락을 이해하기 위해서는 본문 보기를 권장합니다.
식도암은 음식이 지나가는 통로인 식도에 생기는 암을 말한다.
실제로 한림대성심병원 심장혈관흉부외과 이홍규 교수팀이 국제학술지(Journal of clinical medicine) 최신호에 발표한 논문을 보면, 국가건강검진 빅데이터(2002~2019년)를 이용해 국내 식도암 환자 1천114명과 건강한 대조군 4천456명을 대상으로 추적 관찰한 결과 음주와 흡연이 식도암 위험을 각각 89%, 37% 높이는 연관성이 확인됐다.
이 글자크기로 변경됩니다.
(예시) 가장 빠른 뉴스가 있고 다양한 정보, 쌍방향 소통이 숨쉬는 다음뉴스를 만나보세요. 다음뉴스는 국내외 주요이슈와 실시간 속보, 문화생활 및 다양한 분야의 뉴스를 입체적으로 전달하고 있습니다.
![식도 [출처:국가암정보센터]](https://img4.daumcdn.net/thumb/R658x0.q70/?fname=https://t1.daumcdn.net/news/202312/16/yonhap/20231216070039740odro.jpg)
(서울=연합뉴스) 김길원 기자 = 식도암은 음식이 지나가는 통로인 식도에 생기는 암을 말한다. 우리나라에서는 15번째로 흔한 암으로, 전체 암 발생의 1.1%를 차지한다. 수치상 유병률은 그리 높지 않은 셈이다.
하지만 암 관련 사망 원인으로 보면, 식도암은 매년 상위 10위 안에 들 정도로 예후가 좋지 않은 편이다. 5년 상대 생존율은 40.9%에 그친다. 식도에는 장기를 둘러싼 막이 없어 주변 장기 또는 림프절로 전이가 쉽고, 전이가 상당히 이뤄졌을 때 발견되는 경우가 많은 탓이다.
식도암은 보통 세포의 형태에 따라 식도 점막의 편평세포에서 암이 자란 편평세포암, 특정 물질을 분비하는 선세포(샘세포)에 생기는 선암으로 구분한다.
이중 국내 식도암 환자의 90% 이상은 편평세포암이다.
식도암의 원인으로는 음주, 흡연, 노화, 뜨거운 음식, 탄 음식 등이 거론된다. 전문가들은 이 중에서도 음주와 흡연의 영향이 가장 크다고 지적한다.
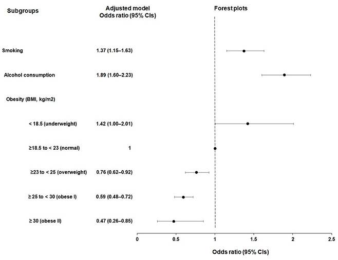
실제로 한림대성심병원 심장혈관흉부외과 이홍규 교수팀이 국제학술지(Journal of clinical medicine) 최신호에 발표한 논문을 보면, 국가건강검진 빅데이터(2002~2019년)를 이용해 국내 식도암 환자 1천114명과 건강한 대조군 4천456명을 대상으로 추적 관찰한 결과 음주와 흡연이 식도암 위험을 각각 89%, 37% 높이는 연관성이 확인됐다.
특히 이런 연관성은 오랜 기간 음주와 흡연을 병행한 55세 이상의 남성에서 두드러졌다. 흡연과 음주로 인한 독성물질이 염증, 산화 스트레스, 유전자 손상 등을 유발하면서 식도암 발병에도 큰 영향을 미친다는 게 연구팀의 분석이다.
또 체질량지수(BMI) 분석에서는 과체중보다 저체중 상태에서 식도암 위험도가 더 높은 것으로 평가됐다.
![국내 식도암 환자 1천114명과 건강한 대조군 4천456명을 대상으로 추적 관찰한 결과 음주와 흡연이 식도암 위험을 각각 89%, 37% 높이는 연관성이 확인됐다. [논문 발췌]](https://img1.daumcdn.net/thumb/R658x0.q70/?fname=https://t1.daumcdn.net/news/202312/16/yonhap/20231216070039856qmgr.jpg)
식도암이 무서운 건 초기에는 특이 증상이 없다가 암이 진행돼서야 음식물 삼킴 곤란, 체중 감소, 가슴뼈 부위의 통증, 기침 등의 증상이 나타난다는 점이다. 이는 식도가 쉽게 늘어나는 성질이 있어 암이 발생하더라도 식도 협착에 의한 증상이 늦게 나타날 수 있기 때문이다. 이런 이유로 조기 식도암의 경우 건강검진 등을 통해 우연히 발견되는 경우가 많다.
식도암은 내시경과 조직검사를 통해 확인할 수 있다. 암의 침범 범위 및 전이 여부를 판단하기 위해서는 식도 조영술, 초음파 내시경, 흉부 및 복부컴퓨터단층촬영(CT), 양전자 방출 단층촬영(PET) 등의 검사를 추가로 시행하기도 한다
치료는 암의 병기에 따라 달라진다. 암이 식도 점막에만 국한한 조기 식도암이라면 내시경을 이용해 암을 절제하는 시술인 '점막하 박리술'(ESD)을 시행할 수 있다. 초기 식도암의 경우 완치율이 95%까지도 보고된다.
하지만 진행성 식도암인 경우에는 내시경 시술로는 치료가 힘들고, 수술에도 어려움이 따를 수 있다. 식도 주위에 심장, 기관지, 폐, 대동맥 등 중요한 장기들이 많고 식도 자체가 목, 가슴, 배에 걸쳐 있기 때문이다. 또 식도를 잘라내면 절제된 식도의 대체 장기로 위장, 소장 또는 대장을 이용하기 때문에 수술의 범위가 넓고 위험성도 큰 편이다.
최근에는 식도암에도 흉강경을 이용해 절개 부위를 최소화하는 '최소 침습 수술'이 많이 시행되면서 치료율을 높이고 있다. 만약 수술이 불가능한 병기라면 방사선 치료와 항암 화학요법을 대안으로 검토할 수 있다.
식도암의 검진 방법으로는 내시경이 최선이다. 특히 식도암 가족력이 있거나 오랜 기간에 걸쳐 흡연과 음주를 지속한 50대 이상 성인이라면 매년 주기적인 내시경 검사를 받아야 한다.
이홍규 교수는 "식도암은 늦게 발견할수록 치료가 어렵기 때문에 무엇보다 스스로 예방과 조기 발견에 힘써야 한다"며 "술과 담배를 끊으면 식도암 위험을 크게 낮출 수 있다는 외국의 연구 결과도 있는 만큼 금주·금연을 결심하고, 고위험군이라면 1년마다 내시경 검사를 실천하는 게 바람직하다"고 말했다.
bio@yna.co.kr
▶제보는 카톡 okjebo
Copyright © 연합뉴스. 무단전재 -재배포, AI 학습 및 활용 금지
- 주차장서 후진기어 상태로 내린 40대 운전자, 차에 깔려 숨져 | 연합뉴스
- [삶] "미국, 북한 공격 어렵다…수뇌부 제거하면 더 위험" | 연합뉴스
- [샷!] "일반인은 접근도 못하는 은밀한 곳 같이 가실래요? | 연합뉴스
- 이준석 모친에 '젓가락' 미러링 악플…성폭력처벌법 위반 송치 | 연합뉴스
- 쓰레기봉투 속 현금 2천500만원 주인은?…한달 넘게 오리무중 | 연합뉴스
- '30대 엄마 중태' 킥보드 사고…가해 중학생·대여업체 송치 | 연합뉴스
- 美, 이란 최고지도자 모즈타바 등에 최대 150억원 현상금 | 연합뉴스
- 교도소서 동료 수감자에게 "아동 성범죄자" 발언했다가 벌금형 | 연합뉴스
- 119 신고까지 했지만…30대 공무원 구청 사무실서 숨진 채 발견(종합2보) | 연합뉴스
- 생후 60일 딸아이 아빠, 뇌사 장기기증으로 5명 살리고 떠나 | 연합뉴스