"입 속 청결해야 암 위험 낮아져…구강세균이 장기에 직접 영향"
전체 맥락을 이해하기 위해서는 본문 보기를 권장합니다.
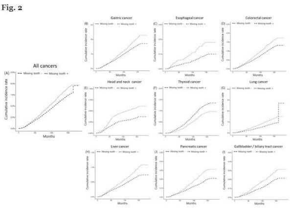
구강 건강 상태가 나쁠 경우, 각종 암 발생에도 좋지 않은 영향을 미칠 수 있어 각별한 주의가 필요하다는 분석이 나왔다.
고려대 구로병원 혈액종양내과 강은주 교수 연구팀은 2002∼2003년 구강검진과 건강검진을 모두 받은 성인 중 암 진단 이력이 없었던 20만170명을 2015년까지 추적 관찰한 결과 구강 건강과 암 발생에 이런 연관성이 관찰됐다고 13일 밝혔다.
이 글자크기로 변경됩니다.
(예시) 가장 빠른 뉴스가 있고 다양한 정보, 쌍방향 소통이 숨쉬는 다음뉴스를 만나보세요. 다음뉴스는 국내외 주요이슈와 실시간 속보, 문화생활 및 다양한 분야의 뉴스를 입체적으로 전달하고 있습니다.

구강 건강 상태가 나쁠 경우, 각종 암 발생에도 좋지 않은 영향을 미칠 수 있어 각별한 주의가 필요하다는 분석이 나왔다.
고려대 구로병원 혈액종양내과 강은주 교수 연구팀은 2002∼2003년 구강검진과 건강검진을 모두 받은 성인 중 암 진단 이력이 없었던 20만170명을 2015년까지 추적 관찰한 결과 구강 건강과 암 발생에 이런 연관성이 관찰됐다고 13일 밝혔다.
그동안 국내외의 여러 연구에서 구강 건강 상태가 암을 비롯한 만성 질환과 관련이 있는 것으로 알려져 왔다. 구강 건강의 지표로는 다양한 세균과 잇몸, 치아 조직 간 오랜 염증 반응의 결과로 나타나는 결손치, 우식증, 치주염 등이 꼽힌다.
이번 연구에서는 전체 분석 대상자의 7.75%에 해당하는 1만5천506명이 추적 기간에 암을 새로 진단받은 것으로 집계됐다. 연구팀은 이들을 대상으로 결손치 유병률을 대조군과 비교 분석했다.
분석 결과, 암을 진단받은 그룹의 결손치 비율은 26.27%로 암을 진단받지 않은 그룹의 22.5%보다 높았다. 이를 종합해 연구팀은 결손치를 동반한 성인의 전체적인 암 발생 위험이 결손치가 없는 성인보다 12% 높은 것으로 추산했다.
세부 암종별 발생 위험은 식도암 40%, 두경부암 32%, 담도암 28%, 폐암·췌장암 27%, 간암 24% 등으로 집계됐다.

연구팀은 결손치가 있다는 건 구강 내 만성 염증 반응이 가장 악화한 상태를 의미하는 것으로, 암 발생 위험이 올라간 암종들의 위치가 대부분 구강 내 세균이 이동해 직접 닿을 수 있는 곳이라고 설명했다.
구강 내 미생물에 의해 유발되는 염증 반응에 직접적인 영향을 받아 결과적으로 암 발병이 촉진된다는 것이다.
연구팀은 특히 담도계나 췌장 등의 경우 타액을 삼킬 때 구강 유해균이 함께 전파됨으로써 이 부위에서의 암 발병에 관여할 수 있다고 설명했다.
강은주 교수는 "세균 감염으로 인한 구강 내 염증이 전신 염증과 염증성 사이토카인 분비를 촉진하고 이에 따라 결과적으로 암 발병 위험이 높아지는 것으로 볼 수 있다"면서 "만약 결손치가 있을 정도의 구강 건강 상태라면 전체적인 암뿐만 아니라 일부 암종의 발생 위험이 높아지는 만큼 평소 치아 건강에 세심한 주의를 기울일 필요가 있다"고 말했다
이번 연구 결과는 구강 건강 관련 국제학술지(BMC Oral Health) 최근호에 발표됐다.
김수연 온라인 뉴스 기자 ksy12@segye.com
Copyright © 세계일보. 무단전재 및 재배포 금지.
- “화장실 문까지 순금” 김준수, 300억 펜트하우스의 삶…천억원 대 자산 비결
- “박나래가 합의 거절…새 삶 살고 싶다” 선처 호소한 자택 절도범
- “투명인간 같았다” 김지연, 이혼 13년 만에 ‘강남 자가’ 일군 100억원 반전
- “화장지 반 칸 아껴 4200% 대박” 전원주, 지점장 뛰어나오게 만든 ‘3000원’의 힘
- “양수 터졌어요” 20대 신고…병원들 ‘거절’에 결국 구급차서 출산
- 조영구, 15kg와 맞바꾼 건강…“가정도 잃을 뻔한 60일의 지옥” [스타's 헬스]
- 3년간 전교 1등만 하던 여고생…새벽 1시, 교무실서 무슨일이 [사건 속으로]
- “배 아파서 잠이 안 와요”…60만원에 다 던진 개미들, 자고나니 ‘날벼락’
- 박세리·김승수 결혼설은 가짜, 재력은 ‘진짜’ [스타's 머니]
- 이제훈·손석구, 출연료는 거들 뿐…경영 수익만 ‘수십억’ [스타's 머니]