韓 수면의 질 저하로 ‘우울증’ 위험 2배 증가
전체 맥락을 이해하기 위해서는 본문 보기를 권장합니다.
수면특성 변화로 한국 성인의 우울증이 10년 전에 비해 2배가량 증가했다는 연구결과가 발표됐다.
윤창호 서울대 의대 신경과 교수(분당서울대병원)와 윤지은 순천향대 의대 신경과 교수(순천향대 부천병원) 연구팀은 2009년에 비해 2018년 우울증 유병률이 2배 가까이 증가했고, 5시간 미만 수면할 경우 7~8시간 수면한 사람보다 우울증 발병 위험이 최대 3.74배 높은 것으로 나타났다고 31일 밝혔다.
이 글자크기로 변경됩니다.
(예시) 가장 빠른 뉴스가 있고 다양한 정보, 쌍방향 소통이 숨쉬는 다음뉴스를 만나보세요. 다음뉴스는 국내외 주요이슈와 실시간 속보, 문화생활 및 다양한 분야의 뉴스를 입체적으로 전달하고 있습니다.

수면특성 변화로 한국 성인의 우울증이 10년 전에 비해 2배가량 증가했다는 연구결과가 발표됐다.
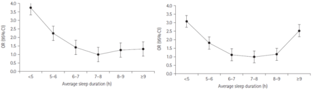
윤창호 서울대 의대 신경과 교수(분당서울대병원)와 윤지은 순천향대 의대 신경과 교수(순천향대 부천병원) 연구팀은 2009년에 비해 2018년 우울증 유병률이 2배 가까이 증가했고, 5시간 미만 수면할 경우 7~8시간 수면한 사람보다 우울증 발병 위험이 최대 3.74배 높은 것으로 나타났다고 31일 밝혔다.
이는 연구팀이 지난 10년간 한국 성인의 수면특성 변화와 우울증 사이의 연관성을 분석한 결과다.
수면은 우리 삶의 약 3분의 1을 차지한다. 잠을 잘 때 우리의 몸은 낮 동안 소모되고 손상된 세포의 기능을 회복하고, 생체 에너지를 효율적으로 관리‧저장하는 과정을 거친다. 이렇게 좋은 수면습관은 건강을 유지하는 데 매우 중요한 요소임에도 한국인을 대상으로 하는 수면 특성 변화에 관한 연구는 아직 없었다.
연구팀은 한국 성인의 수면특성의 변화를 확인하고, 우울증과 수면시간의 사이의 연관성을 확인하기 위해 무작위로 추출된 19세 이상 성인을 대상으로 ▲기상시간 ▲취침시간 ▲총 수면시간 ▲주관적인 잠 부족 경험 ▲수면의 질 ▲우울증 여부를 2009년(2836명)과 2018년(2658명) 각각 조사‧분석했다.

그 결과 2009년에 비해 2018년의 평균 수면시간은 19분 감소했으며 우울증 유병률은 4.6%에서 8.4%로 증가했다. 불충분한 수면을 하고 있다고 인식하는 사람의 비율은 30.4%에서 44.3%로 증가한 점이 확인됐다. 또 수면에 도달하는 시간을 의미하는 ‘수면잠복기’는 평일 8분, 주말 7분 증가하는 등 평일‧주말 모두 수면 효율성이 떨어졌다.
피츠버그 수면 질 지수(5점 초과 시 잠재적인 수면부족을 의미함)도 3.6에서 3.8로 증가했다.
2009년과 2018년 모두 7~8시간 수면을 취한 사람의 우울증 유병률이 가장 낮았다. 반면 수면시간이 5시간 미만이면 적정 수면시간을 취한 사람보다 3.08~3.74배 높은 유병률을 보였다. 또 수면시간이 9시간 이상이면 우울증 유병률이 1.32~2.53배 높은 것으로 나타나 적정 수면시간을 취하는 것이 매우 중요하다는 점도 확인됐다.
이번 연구는 국내 최초로 한국인을 대상으로 한 수면특성 변화 연구로, 수면지속시간과 우울증의 연관성을 밝혔다는 점에서 의의가 있다는 게 연구팀의 설명이다.
윤창호 교수는 “부족한 수면시간과 낮은 수면의 질은 우울증 외에도 심뇌혈관질환 등 다양한 질환의 원인이 될 수 있다”며 “특히 5시간 미만이나 9시간 이상의 수면시간은 우울증 위험성을 높이므로 적정 수면시간을 지키는 것이 중요하다”고 말했다.
윤지은 교수는 “평균 수면시간, 수면의 질 등 대부분 지표에서 10년 전보다 나빠졌다”며 “건강한 삶을 유지하기 위해선 좋은 수면 행동의 중요성을 알리는 교육이 필요하다”고 강조했다.
Copyright © 농민신문. 무단전재 및 재배포 금지.