[김영훈 교수가 설명하는 허준이 교수 업적] 허준이, 조합 대수기하학의 새 장을 열다

올해 필즈상을 수상한 허준이 미국 프린스턴대 교수(고등과학원 교수)의 연구 분야를 한마디로 말하면 ‘조합 대수기하학’이라고 한다. 방정식들로 정의되는 기하학적 공간을 연구하는 대수기하학을 통해 조합론의 문제를 해결하는 비교적 새로운 분야다.
'조합수학'은 중고교 수학 교과서에 나오는 ‘경우의 수’를 통해 익숙한 분야다. 예를 들어 ‘쾨니히스베르크의 일곱 개의 다리를 모두 건너는데 어떤 다리도 두 번 건너지 않게 할 수 있는가’ 같은 문제처럼 주어진 조건을 만족하는 경우의 수를 세는 문제를 탐구하는 분야이다.

대수기하학은 1차 다항식으로 직선이나 평면을 나타내고, 2차 다항식으로 타원이나 쌍곡선을 분석하는 것처럼 대수학을 통해 기하를 연구하는 학문이다. 허 교수는 대수기하학의 성과를 바탕으로 조합수학의 오랜 난제를 여러 개 해결해 '조합 대수기하학'의 아이콘으로 떠올랐다.
수학자들은 보통 난제를 추측의 형태로 제시하곤 한다. 허 교수가 현재까지 해결한 추측을 보면 그가 얼마나 수학계에서 중요한 지위를 차지하는지 가늠할 수 있다.
대부분의 수학자가 평생 이런 문제를 하나도 해결하기도 어렵다. 하지만 40세가 되기 전에 이렇게 많은 난제를 해결한 걸 보면 누구든 허 교수가 필즈상을 받고도 남는 성과를 성취했다는 사실을 인식할 수 있다. 그의 특기는 대수기하학에 대한 강력한 직관에 바탕을 두고 조합론의 난제를 공략하는 것이다. 두 분야 모두에 정통한 수학자만이 시도할 수 있는 매우 어려운 연구라고 할 수 있다.

조합수학의 고전 문제, 그래프 색칠하기
허 교수가 해결한 대표적 문제로 조합수학의 고전적인 문제인 ‘4색 문제’가 있다. 모든 평면지도를 4가지 색만 써서 나라를 구별해 색깔을 칠할 수 있는지 묻는 것이다. 1852년 영국의 대학생이던 프랜시스 구드리가 지도를 관찰하다 추측했고, 이를 은사이자 당대 저명한 수학자인 오거스터스 드모르간에게 물으면서 수학자들의 관심을 끌게 됐다. 100년 넘게 많은 수학자의 지속적인 노력이 이어졌고, 1976년 미국 일리노이대의 두 교수 케네스 아펠과 볼프강 하켄이 컴퓨터의 도움을 받아 증명을 완성했다.
쾨니히스베르크의 다리 문제처럼 이 지도 문제도 그래프로 바꿔 생각하는 것이 편리하다. 각 나라를 점으로 표현하고, 두 나라가 인접하면 변으로 연결해 지도마다 그래프를 하나 얻을 수 있다.

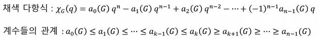
4색 문제에 자극을 받아 1932년 조지 벌코프와 해슬러 휘트니는 채색 다항식이라는 함수를 정의했다. 채색 다항식이란 어떤 그래프에서 이웃한 꼭짓점은 서로 다른 색이 되도록 꼭짓점을 q개 이하의 색으로 칠하는 방법의 수를 나타낸 식이다.

예를 들어 다음과 같은 사각형 그래프G가 있다고 가정하자. 세 가지 색을 써서 칠한다면 꼭짓점 하나의 색을 정하고 나면 인접한 두 꼭짓점의 색이 같은 경우는 3×2×2=12개가 나온다. 다른 경우 3×2=9개의 방법이 있으므로 18가지가 된다. 이처럼 계속 구해보면 다음과 같은 채색 다항식을 확인할 수 있다.

색이 세 가지일 때를 두 가지 경우로 나눠 구했는데, 이를 일반화하면 ‘제거-압착 공식’을 얻는다. 임의의 변 e를 고르고, e의 두 꼭짓점을 v₁, v₂라고 한다. 변 e를 제거한 그래프를 G₁이라 하고, 다시 G₁에서 꼭짓점 v₁과 v2를 겹쳐 얻는 그래프를 G₂라고 한다. 그러면 구하고자 하는 그래프 G의 채색 다항식은 G₁의 채색 다항식에서 G₂의 채색 다항식을 뺀 값이다. 왜냐면 G₁의 채색 다항식은 v₁과 v₂가 서로 다른 색일 필요 없이 색칠하는 방법의 수이고, G₂의 채색 다항식은 v₁과 v₂가 같은 색으로 칠해지는 방법의 수이기 때문이다.
허 교수의 첫 조합수학 연구, 리드의 추측
채색 다항식을 구체적인 그래프에 대해 많이 계산해 보면 흥미로운 패턴을 관찰하게 되는데 식을 다음 꼴로 썼을 때 계수들이 증가하다가 감소하는 패턴을 보인다.

이런 패턴이 모든 그래프에 대해 참이라는 것이 ‘리드(Read)’의 추측이다. 1968년 영국 수학자 로널드 리드가 제기한 추측으로, 채색 다항식의 계수를 앞에서부터 차례로 따져봤을 때 증가하다가 감소한다는 것이다. 이 추측은 1974년 스튜어트 호가의 추측으로 강화됐는데, 계수들의 로그값이 아래로 오목한 ‘로그-오목’이라는 것이다. 로그-오목이면 항상 증가하다 감소한다.
벡터 공간까지 범위를 넓힌 로타 추측
놀랍게도 연관성이 없어 보이는 다른 조합수학 문제에서도 로그-오목성이 나타난다. 유한 차원 벡터 공간에 포함된 영벡터가 아닌 유한개의 벡터들의 집합 E가 주어지면 원소가 i개인 E의 부분 집합 중 일차독립인 것의 개수를 나타내는 수열 fᵢ(E)를 생각할 수 있다. 이때 E의 성질을 나타낸 특성다항식을 정의할 수 있는데, ‘메이슨-웰시의 추측’은 특성다항식의 계수들이 즉, 수열 fᵢ(E)가 로그-오목인지 묻는 것이다.
또 1935년 휘트니는 그래프와 벡터들의 집합의 공통 특성을 추상화해 ‘매트로이드’라는 개념을 도입했다. 유한집합 E에 매트로이드 M이 주어지면 제거-압착 관계식과 초기 조건으로부터 특성다항식을 정의할 수 있다. ‘로타의 추측’은 리드-호가의 추측과 메이슨-웰시의 추측을 일반화해 임의의 매트로이드 M에 대해 특성 다항식의 계수들이 로그-오목임을 보이는 문제이다.
허 교수는 '교차수'의 재밌는 성질인 '호지-리만 관계'를 통해 로타의 추측이 참이라는 것을 증명했다. 여기서 교차수란 공간에서 다양체들이 몇 개의 점에서 만나는지를 나타낸 것이다. 예를 들어 이차곡선과 이차곡선은 일반적으로 4개의 점에서 만나는데 이때 두 곡선의 교차수는 4이다.

연구의 중요성
이는 조합론 측면에서는 너무도 자명하다. 그래프나 매트로이드가 왜 중요하냐고 묻는 것은 인공지능(AI) 연구에서 행렬이 왜 필요하냐고 묻는 것과 같은 우문이다. 매트로이드의 응용 분야는 정보통신, 반도체 설계, 교통, 물류, 기계학습, 통계물리 등 셀 수 없이 다양하다. 따라서 그래프와 매트로이드에 관한 연구는 큰 파급효과를 가질 수밖에 없다. 허 교수는 조합론적으로 정의된 교차이론을 개발하여 매트로이드 연구의 새 장을 열었다는 점에서 의미가 크다.
역으로 대수기하학의 관점에서도 충격적인데, ‘사영다양체’를 거치지 않고 매트로이드에서 바로 사영다양체의 교차이론에서 나오는 고유의 성질들이 확립한 것은 현재의 대수기하학의 토대가 더욱 확대될 수 있음을 이야기한다. 비유하자면 화성(조합론, 매트로이드)에서 얼음(호지-리만 관계)이 발견된 것인데, 이는 화성에도 생명체(기하학 구조)가 존재 가능함을 암시한다.

※필자소개
김영훈 서울대 수리과학부교수. 1993년 서울대 수학과를 졸업하고, 2000년 미국 예일대에서 박사 학위를 받았다. 2000년부터 2002년까지 미국 스탠퍼드대에서 연구과 강의를 했으며, 2002년부터 서울대 수리과학부 교수로 근무하고 있다. 연구 분야는 대수기하학으로, 허준이 교수의 학사와 석사지도 교수다. 2009년 젊은과학자상, 2014년 이달의과학기술자상, 2017년 디아이수학자상을 수상했다.
[김영훈 서울대 수리과학부 교수 ]
Copyright © 동아사이언스. 무단전재 및 재배포 금지.