NEJM "릴리 단일클론 항체치료제, 코로나 입원 환자에 효과 없어"
전체 맥락을 이해하기 위해서는 본문 보기를 권장합니다.
단일클론 항체치료제의 신종 코로나바이러스 감염증(코로나19) 입원환자 치료 효과가 크지 않다는 연구결과가 나왔다.
단일클론 항체치료제인 LY-CoV555는 코로나19 확진자의 바이러스 수치를 낮추고 외래 환자가 입원이나 응급실 방문하는 횟수를 줄여주는 데 효과가 있는 것으로 알려졌다.
이 글자크기로 변경됩니다.
(예시) 가장 빠른 뉴스가 있고 다양한 정보, 쌍방향 소통이 숨쉬는 다음뉴스를 만나보세요. 다음뉴스는 국내외 주요이슈와 실시간 속보, 문화생활 및 다양한 분야의 뉴스를 입체적으로 전달하고 있습니다.
가짜약 투여와 항체 투여 환자군 차이 없어
"감염 조직에 항체 침투 효과 낮을 가능성"

단일클론 항체치료제의 신종 코로나바이러스 감염증(코로나19) 입원환자 치료 효과가 크지 않다는 연구결과가 나왔다. 미국 제약사 일라이릴리에서 개발한 'LY-CoV555'를 사용한 연구 결과다. 입원 치료받는 환자들에게 렘데시비르, 항체치료제를 함께 투여했더니 렘데시비르만 사용했을 때와 별다른 차이가 없었다.
지난 22일(현지시간) 세계적 학술지 뉴잉글랜드저널오브메디신(NEJM)에 LY-CoV555 연구결과가 공개됐다. LY-CoV555의 효과와 유용성 등을 평가하기 위한 대규모 연구팀인 'ACTIV-3/TICO 스터디 그룹'에서 발표한 공식 연구 결과다.
코로나19 인명피해를 줄이기 위해서는 중증 입원 환자에게 잘 듣는 치료제를 찾아야 한다. 입원 환자의 입원 기간을 줄이기 위해 사용되는 치료제가 렘데시비르다. 덱사메타손도 일부 사망률을 줄일 수 있다는 연구 결과가 나왔지만 다른 추가 치료법은 없는 상태다. 코로나19 환자의 면역반응을 높이기 위해 회복기 혈장치료, 면역글로불린치료, 단일클론항체치료 등에 대한 연구가 진행되고 있다.
단일클론 항체치료제인 LY-CoV555는 코로나19 확진자의 바이러스 수치를 낮추고 외래 환자가 입원이나 응급실 방문하는 횟수를 줄여주는 데 효과가 있는 것으로 알려졌다. LY-CoV555는 경증 환자 치료 효과가 입증돼 미국 식품의약국(FDA)으로부터 긴급사용승인을 받았다. 하지만 치료제가 수백만원에 이르는 고가인데다 주사제이기 때문에 모든 경증 확진자에게 투여하는 데에는 한계가 있다. 코로나19 경증 환자의 80%는 별다른 치료 없이 완치되기 때문이다. 연구팀은 입원 치료를 받는 중증 환자에게도 효과있는지 확인하기 위해 이번 연구를 진행했다.
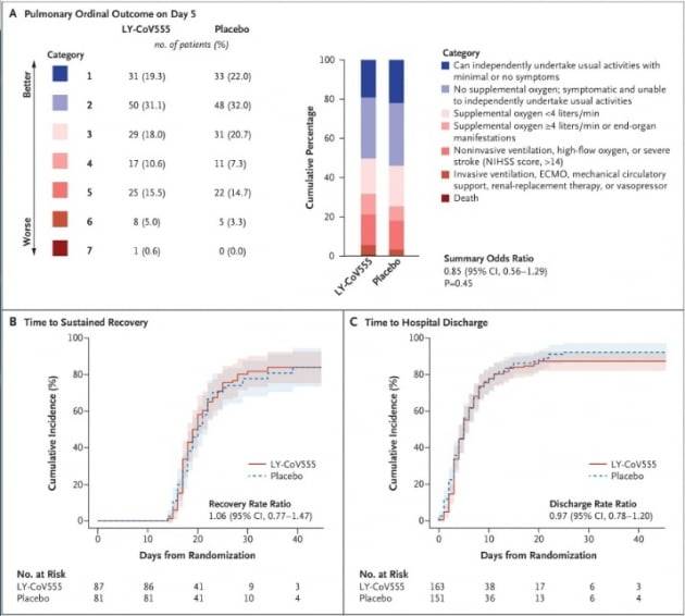
연구팀은 미국, 덴마크, 싱가포르 등 31개 의료기관에서 코로나19로 입원 치료받는 환자 314명을 나눠 한 그룹(163명)은 렘데시비르 등 치료와 LY-CoV555를, 다른 그룹(151명)은 렘데시비르 등 치료와 가짜약을 투여해 결과를 분석했다. LY-CoV555 투약군은 7000mg 용량을 한 시간 정도 정맥주사 했다. 이후 5일째 되던 시점에 폐기능 등을 평가하고 90일간 회복이 지속되는지를 관찰했다.
치료 5일때 되는 날 환자들의 폐 기능을 7단계로 나눠 비교한 결과 LY-CoV555를 투여한 환자와 가짜약을 투여한 환자들의 분포에 큰 차이가 없었다. LY-CoV555 투여군은 55%가, 가짜약 투여군은 56%가 5일 째 되는 시점에 퇴원했다. 확률적으로 의미가 크지 않지만 가짜약을 투여한 환자들의 퇴원율이 오히려 높은 셈이다.
5일차 치료를 근거로 연구팀은 LY-CoV555가 입원환자에게 효과를 낼 가능성이 낮다고 판단했다. 입원환자에게 LY-CoV555 치료를 하는 것의 유효성을 확인하지 못했다고 결론 내렸다.
다만 LY-CoV555가 입원환자에게 효과없는 이유는 아직 확인되지 않았다. 연구팀은 "감염된 조직에 항체가 잘 침투하지 않거나 침투하는 속도가 느려졌을 가능성, 항체 부작용, 변이 등이 영향을 줬을 가능성이 있다"고 했다.
이지현 기자 bluesky@hankyung.com
▶ 경제지 네이버 구독 첫 400만, 한국경제 받아보세요
▶ 한경 고품격 뉴스레터, 원클릭으로 구독하세요
▶ 한국경제신문과 WSJ, 모바일한경으로 보세요
ⓒ 한국경제 & hankyung.com, 무단전재 및 재배포 금지
Copyright © 한국경제. 무단전재 및 재배포 금지.
- "아내가 시어머니 장례식장에 가지 않겠답니다" [와글와글]
- '불상 모시고 인생상담' 충주 가정집 방문자 등 6명 확진
- 국힘 "法 윤석열 복귀 결정, 사실상 文 탄핵…秋 경질해야"
- "물량에 장사없다"…수도권서 유일하게 전셋값 떨어진 곳이
- "내년에도 동학개미운동 이어진다"…투자 전략은? [여의도에 묻다②]
- 최민수 아들 유성씨, 신병 훈련소 퇴소…공황장애 때문
- 송선미 "남편 사건 후…" 솔직한 고백
- 김송 "강원래 결혼 후 행복한 척…지옥이었다" 충격 고백
- 이하늘·박유선 "11년 연애, 1년4개월 만에 이혼한 이유는…"
- [인터뷰+] '스위트홈' 송강, '만찢남' 지우고 '송현수'가 되기까지