[사이언스N사피엔스] 원자와 분자

19세기는 과학의 역사에서 풍요와 완성의 시대였다. 아마 서구 열강에게는 모든 면에서 그랬을 듯싶다. 영국은 눈부신 빅토리아 시대를 맞아 해가 지지 않는 제국을 만들었고 대륙의 프랑스는 ‘벨 에포크’의 시대를 열었다. 서구의 풍요가 식민지 개척으로 가능했다는 사실은 우리에게 슬픈 역사로 다가온다. 우리의 19세기는 1800년 정조대왕의 갑작스런 죽음으로 시작해서 세도정치와 이양선과 두 번의 양요와 쇄국정책, 그리고 결국엔 망국으로 이어졌다. 이런 트라우마 때문인지 우리에겐 과학기술-산업혁명-부국강병 이렇게 연결 지어 생각하는 경우가 많은 것 같다. 한국에서 유독 ‘4차 산업혁명’에 민감한 이유도 나는 이 때문이라고 생각한다. 예전 김대중 대통령 시절에 나왔던 “산업화는 늦었지만 정보화는 앞서가자.”라는 구호 속에도 우리의 특별한 역사적 정서가 담겨 있다. 19세기 과학의 역사를 돌아볼 때면 내 마음도 이렇게 복잡해진다.
18세기에서 19세기로 넘어가는 길목에서 라부아지에가 1794년 단두대의 이슬로 사라진 것은 참 상징적인 사건이었다는 생각이 든다. 하비의 《해부학적 연구》가 1628년에, 뉴턴의 《프린키피아》가 1687년에 나온 것에 비하면 라부아지에의 《화학원론》이 나온 1789년은 이들보다 한 세기 뒤이다. 그만큼 화학이 좀 늦게 근대적인 학문으로 자리를 잡았지만 라부아지에를 거치며 일단 독립적인 하나의 과학 분과로 자리를 잡은 만큼 19세기로 접어들면서 비약적인 발전을 기대하게 되는 것도 당연하다.
라부아지에 사후 18세기가 마무리되고 19세기가 시작되면서 화학분야에서 여러 발전이 있었다. 우선 각종 법칙들이 발견되었다. 1799년 조제프 루이 프루스트가 일정성분비의 법칙을, 1803년에 존 돌턴이 배수비례의 법칙을 발견했다. 일정성분비의 법칙이란 어떤 화합물이 만들어질 때 그 구성 원소들이 항상 일정한 비율의 질량으로만 결합한다는 법칙이다. 예컨대 수소와 산소가 만나 물을 만들 때는 언제나 수소와 산소의 질량이 1:8이 되게 반응이 일어난다는 말이다. 지금 우리는 물을 H2O라 써 놓고 수소와 산소의 질량이 16배 차이난다는 점을 알고 있으니까 물을 만드는 수소와 산소가 1:8의 비율로 결합하는 것을 당연하게 여긴다. 당시에는 원자나 원소의 개념도 명확하지 않았고 임의의 질량비율로 화학반응이 가능하다는 생각도 팽배했다.
정말로 모든 화학반응에서 일정성분비의 법칙이 성립한다면 화학반응에 참가하는 각 성분(원소)들은 어떤 최소단위로 덩어리져 있다고 가정하는 게 자연스럽다. 물론 그 최소단위는 우리에게 아주 익숙한 원자이다. 그러나 현대적인 원자론은 프루스트가 아니라 영국의 돌턴이 들고 나왔다. 돌턴은 프루스트의 일정성분비의 법칙을 연구하면서 배수비례의 법칙을 알아냈다. 배수비례의 법칙이란 하나의 원소가 다른 원소와 결합해 여러 개의 화합물을 만들 때 한 원소의 특정 질량과 결합하는 다른 원소의 질량들 사이에는 간단한 정수비가 성립한다는 법칙이다. 예를 들어 탄소와 산소가 결합하면 일산화탄소와 이산화탄소를 만들 수 있는데, 똑같은 질량의 탄소와 결합하는 산소의 질량들(일산화탄소 속의 산소의 질량과 이산화탄소 속의 탄소의 질량) 사이에는 1:2의 비율이 성립한다.
이런 과정을 거치며 돌턴은 근대적인 원자론을 정립하게 된다. 그 옛날 고대 그리스의 데모크리토스와 레우키포스의 원자론과 완전히 같다고 할 수는 없지만 어쨌든 무덤 속의 미라가 다시 태어는 데에 약 2,200년이 걸린 셈이다. 돌턴에 따르면 자연의 원소들은 더 이상 쪼개거나 파괴되거나 스스로 생성될 수 없는 원자(atom·아톰)로 구성돼 있다. '아톰'의 어원은 나눌 수 없다는 뜻의 '아토모스(atomos)'이다. 여기에 부정의 뜻이 담긴 접두사 an-이 붙은 단어 아나토미(anatomy)는 해부라는 뜻이다. 원자들은 서로 다른 질량을 가질 수 있는데 그 때문에 각 원소들이 서로 다른 성질을 가진다. 화학반응이란 이런 원자들이 서로 결합되고 분리되는 과정이며 그렇게 화합물을 만들 때에는 특정한 비율로만 결합할 수 있다. 돌턴은 1800년대 초반에 이런 구상을 시작했고 1803년 왕립학회 강연에서 원자론을 제시했으며 1808년에는 《화학철학의 새로운 체계》라는 책에서도 소개했다.
20세기를 거치면서 우리가 알게 된 원자의 속사정은 돌턴의 원자론과 다른 면이 많다. 예컨대 원자는 전자와 원자핵으로 쪼개지며 원소의 화학적 성질이 다른 것은 그 질량 때문이 아니라 전자의 배치 때문이다. 그럼에도 원자라는 개념 자체가 현대과학에서도 가장 핵심적인 개념이므로 돌턴의 원자론은 과학의 역사에서 하나의 기념비라고 할 만하다.

돌턴이 원자론을 주장한지 얼마지 않아 프랑스의 조세프 루이 게이뤼삭(1778~1856)은 1805년 기체반응의 법칙을 발표했다. 기체들이 반응해서 새로운 기체를 만들 때 각 기체들의 부피 사이에는 간단한 정수비가 성립한다는 내용이다. 예를 들면 수소와 산소가 만나서 물을 만들 때 수소기체 2부피에 대해 산소기체 1부피가 만나서 수증기 2부피가 되는 식이다. 이게 뭐 그리 대단한 법칙일까 싶은데 돌턴의 원자론으로는 이해하기 힘든 구석이 있었다. 게이뤼삭은 기체의 부피가 기체의 종류와 상관없이 기체를 구성하는 알갱이, 즉 원자가 얼마나 많은가로 결정된다고 생각했다. 여기에는 자신이 발견한 기체의 중요한 성질, 즉 기체의 온도가 올라가면 기체의 종류에 상관없이 모든 기체가 온도 상승에 비례해서 부피가 커진다는 법칙(게이뤼삭의 법칙; 샤를의 법칙으로도 알려져 있다.)도 고려됐다.
어떤 원자가 많으면 당연히 그 기체가 차지하는 부피는 그 입자의 개수에 비례할 것이다. 여기까지는 자연스럽다. 그렇다면 수소 2부피와 산소 1부피가 결합하면 어떻게 될까? 수소의 부피가 산소의 부피의 2배라면 원자의 개수도 2배일 것이다. 이 두 기체가 공평하게 결합해서 수증기를 만드는 방법은 산소 1개당 수소 2개가 결합해 수증기 1부피를 만드는 것이다. 그러나 자신이 알아낸 바에 따르면 수소 2부피와 산소 1부피가 만나면 수증기 2부피가 생긴다. 수소는 애초에 2부피가 있었으므로 수증기 2부피를 만드는 데에 별 지장이 없다. 문제는 산소이다. 1부피의 산소로 2부피의 수증기를 만들려면 1부피를 구성하는 산소 원자를 둘로 쪼개는 수밖에 없다. 즉, 반개의 산소가 하나의 수소와 결합하면 2부피의 수증기를 만들 수 있다. 이러면 문제가 해결될 것 같지만 돌턴에 따르면 원자는 쪼개질 수 없다! 여기서 모순이 생긴다. 돌턴의 원자론과 자신이 발견한 기체반응의 법칙이 충돌하는 것이다. 돌턴은 게이뤼삭의 이런 해석을 받아들이지 않았다. 돌턴은 ‘열소 덮개’라는 개념을 도입해 기체의 압력과 부피를 설명하려고 했다.
이 문제를 해결한 것이 이탈리아의 아마데오 아보가드로(1776~1856)였다. 아보가드로의 해결책은 의외로 간단했다. 돌턴은 수소나 산소 같은 기본 원소들의 경우 원자들이 모여 기체를 형성한다고 생각했으나 아보가드로는 수소 기체를 수소 원자의 집합체가 아니라 원자 둘이 결합된 새로운 단위, 즉 분자들의 집합체로 가정했다. 분자(分子)는 원자와 달리 말 그대로 쪼갤 수 있는 단위이다. 기체들이 반응할 때 돌턴의 원자를 분자로 바꿔치고 게이뤼삭의 법칙에 적용하면 아무런 모순 없이 모든 것을 훌륭하게 설명할 수 있다. 즉, 2부피의 수소에는 수소분자가 2부피만큼 들어 있고 1부피의 산소에는 산소분자가 1부피만큼 들어있다. 만약 1부피당 수소든 산소든 분자의 개수가 똑같다면 산소분자가 두 개의 원자로 갈라져 각각 2부피의 수소와 결합할 수 있다. 이렇게 되면 수소원자 2개에 산소원자 1개가 결합한 수증기 2부피를 얻는다.

이 설명이 성립하려면 한 가지 대단히 중요한 가정을 해야만 한다. 즉, 모든 기체는 그 종류와 상관없이 같은 부피 속에 똑같은 개수의 분자가 들어있어야만 한다. 이를 아보가드로의 법칙이라고 부른다.
아보가드로가 분자의 개념을 도입해 자신의 법칙을 주장했을 때에는 어떤 부피에 얼마만큼의 기체분자가 들어있는지 알지 못했다. 후대의 과학자들이 알아낸 바에 따르면 모든 기체는 그 종류에 상관없이 섭씨 0도, 1기압일 때 22.4리터 안에 6.022169x10의23승 개의 분자가 들어 있다. 온도와 기압을 특정한 이유는 이들도 분자의 개수에 영향을 주기 때문이다. 이 숫자를 아보가드로수라 한다. 이 숫자는 인간이 상상할 수 없을 정도로 엄청나게 큰 숫자이다. 그래서 이 숫자를 새로운 단위로 정해 1몰(mole)이라고 부른다.
1몰, 즉 아보가드로수는 과학 전반에 아주 중요한 자연 상수이다. 수소원자 하나의 질량이 대략 다음과 같다.

이로부터 계산해 보면 수소가 1몰 만큼 있으면 그 질량이 약 1그램이다. 과학자들은 이 관계를 좀 더 엄밀하게 정하기 위해 기준이 되는 원소를 탄소로 정했다(1971년). 즉 질량수(양성자와 중성자 개수의 합)가 12인 탄소12의 질량이 12그램이 되는 탄소원자의 개수를 1몰로 정의했다.
그 이전에는 산소를 이용했다. 그러다가 지난 2018년 모든 단위를 자연표준으로 바꾸면서 이 관계도 바뀌게 된다. 즉, 1몰을 그냥 으로 고정시켜 버렸다. 그러니까 이 숫자를 그냥 아보가드로수라고 정의하자는 것이다. 이 정의는 2018년에 채택되어 2019년 5월부터 시행되고 있다.
이렇게 정의하면 탄소12의 1몰의 질량이 정확하게 12그램이 되지는 않는다. 달리 말하자면 이전에는 탄소12의 질량을 오차 없는 12그램이라 ‘정의’하고 그로부터 몰(mole)을 재정의했다면(이렇게 되면 아보가드로수에 오차가 생긴다.) 2019년 이후로는 자연의 상수인 몰을 오차 없이 정의하고 그로부터 탄소12의 질량을 계산하게 된다. 이는 근본적으로 길이의 단위인 미터와 질량의 단위인 킬로그램에 대해서도 마찬가지이다.
학력고사를 보고 대학에 입학했던 나는 과학에서 두 과목을 선택해야 했다. 당시 분위기는 학교에서 선택과목을 ‘선택해 주는’ 시스템이었다. 물리학과로 진학하려던 나는 화학과 생물을 ‘선택 당했다.’ 그때 입시준비하면서 화학교과서에서 봤던 아보가드로수에 대한 글이 아주 인상적이었다. 그 글은 아보가드로수가 얼마나 큰지를 설명하기 위해 해수욕장 백사장에 있는 모래알의 개수와 아보가드로수를 비교하는 내용이었다. 지금은 그 구체적인 내용이 당연히 생각나진 않지만 여기서 간단하게 계산해 볼 수 있다. (물리학자들은 이런 계산 즐겨 한다.)
한국에서 가장 유명한 해운대 백사장의 경우 2015년 보도 자료에 따르면 그 넓이가 14만6천6 제곱미터라고 한다.
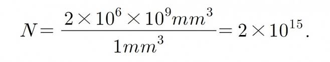
계산의 편의를 위해 백사장 넓이를 대략 20만 제곱미터라 하고 그 깊이를 10미터라 하면 전체 백사장의 부피는 200만 세제곱미터가 된다. 이 백사장을 채우고 있는 모래알 하나의 크기를 약 1 세제곱 밀리미터(가로 세로 높이가 각각 1밀리미터)라고 하면 백사장에 들어가 있는 모래알의 개수를 계산할 수 있다.
세제곱미터를 세제곱 밀리미터로 바꾸면 가로 세로 높이가 각각 1000 밀리미터씩이니까 1 세제곱미터는 1000x1000x1000=10의9승 세제곱 밀리미터이다. 따라서 모래알의 개수는

만약 모래알이 훨씬 더 고운 입자여서 가로 세로 높이가 0.1밀리미터라고 하면 모래알 하나의 부피가 천 배 줄어든 셈이니까 전체 모래알의 개수는 천 배 늘어난다. 이 경우 전체 모래알의 개수는 대략 10의 18승개 정도밖에 되지 않는다. 아보가드로수 ~10의 23승에 비해서 10의 5승, 즉 10배 정도 작은 양이다. 그러니까 백사장 모래알 개수 따위로는 아보가드로수와 비교하기에 어림도 없다.
※참고자료
-Sydney Ross, John Dalton, Encyclopædia Britannica, inc.,July 23, 2019; https://www.britannica.com/biography/John-Dalton.
-George F. Bertsch et al., Atom, Encyclopædia Britannica, inc., February 04, 2020; https://www.britannica.com/science/atom.
-백성혜, 과학교육에서 과학사의 응용: 입자개념의 발달에 대한 과학사적 고찰이 과학교육에 주는 함의, 한국과학사학회지 제35권 제3호 (2013).
-Gillian Gassa, “Spheres of Influence: Illustration, Notation, and John Dalton’s Conceptual Toolbox, 1803-1835,” Annals of Science 64 (2007), pp. 349-382.
-Bureau International des Poids et Mesures (1971): 14th Conference Générale des Poids et Mesures.
International Bureau for Weights and Measures (2018): Resolutions Adopted - 26th Confernce Générale des Poids et Mesures.
-박태우, 폭 100m까지 넓어진 해운대 백사장, 회춘했네, 부산일보, 2015.5.10.;
http://www.busan.com/view/busan/view.php?code=20150511000080.
※필자소개
이종필 입자이론 물리학자. 건국대 상허교양대학에서 교양과학을 가르치고 있다. 《신의 입자를 찾아서》,《대통령을 위한 과학에세이》, 《물리학 클래식》, 《이종필 교수의 인터스텔라》,《아주 특별한 상대성이론 강의》, 《사이언스 브런치》,《빛의 속도로 이해하는 상대성이론》을 썼고 《최종이론의 꿈》, 《블랙홀 전쟁》, 《물리의 정석》 을 옮겼다. 한국일보에 《이종필의 제5원소》를 연재하고 있다.
[이종필 건국대 상허교양대 교수 jongphil7@gmail.com]
Copyright © 동아사이언스. 무단전재 및 재배포 금지.